Предмет: Алгебра,
автор: vipamalia03
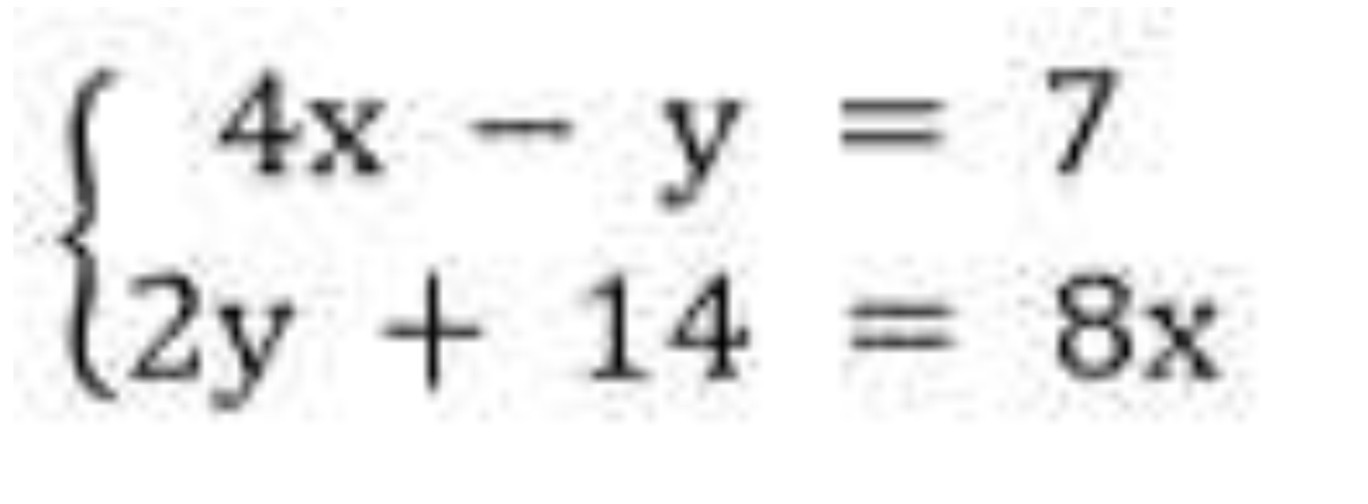
Выясните, имеет ли решение система уравнений. Если имеет, то сколько:
Приложения:
Ответы
Автор ответа:
2
Смотри.....,...........
Приложения:
Похожие вопросы
Предмет: Кыргыз тили,
автор: rsendeleev
Предмет: Физика,
автор: lolkaw
Предмет: География,
автор: erkobolatov1
Предмет: Математика,
автор: vasilcovasigay
Предмет: Математика,
автор: снежаночка123