Предмет: Алгебра,
автор: Hikaroo
Помогите! 50 баллов
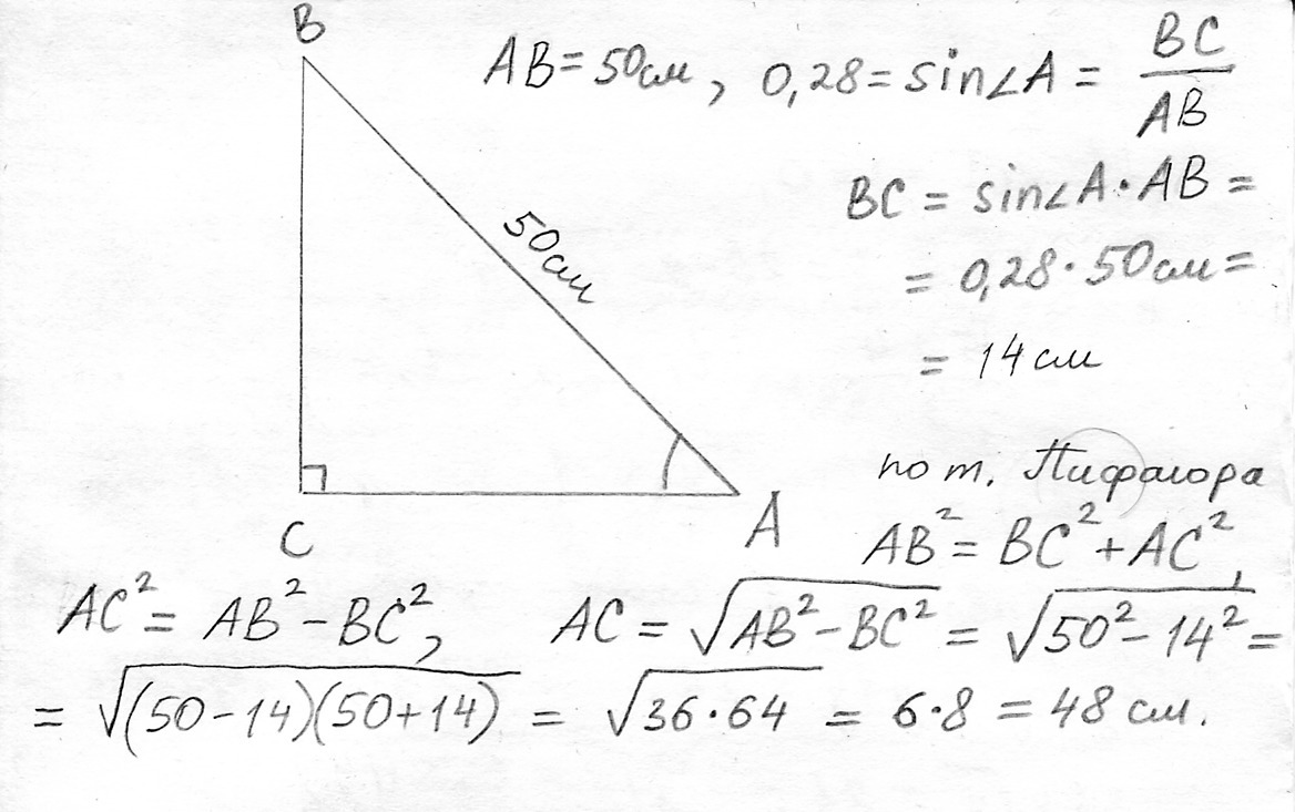
В прямоугольном треугольнике гипотенуза равна 50 см, а синус одного из углов равна 0,28.
Найдите катеты
(Неправильные ответы будут отмечаться как нарушение)
Ответы
Автор ответа:
1
решение на листке ===>>
Приложения:
Похожие вопросы
Предмет: Алгебра,
автор: gertec
Предмет: Математика,
автор: lgrisenko6452
Предмет: Биология,
автор: warboioui
Предмет: Физика,
автор: Adelina20002
Предмет: Литература,
автор: Toxa2136