Предмет: Алгебра,
автор: den1209se1
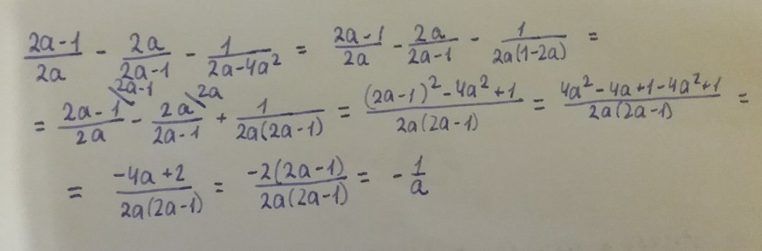
ДАЮ 30 БАЛЛОВ !!! ПОМОГИТЕ РЕШИТЬ ЧЕТВЕРТЫЙ НОМЕР !
Приложения:
Ответы
Автор ответа:
1
Посмотрите, вроде правильно.
Приложения:
den1209se1:
спасибо, но я сам уже решил... давно
спасибо, но я сам уже решил... давно...
Похожие вопросы
Предмет: История,
автор: karinka9446
Предмет: Русский язык,
автор: jopa226234
Предмет: Алгебра,
автор: YpitStydios
Предмет: Математика,
автор: zimensirina