Предмет: Алгебра,
автор: amegz
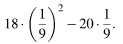
Найдите значение выражения
Приложения:
Ответы
Автор ответа:
1
ставь спасибо и можно мой ответ лучше?
Приложения:
amegz:
Спасибо
Похожие вопросы
Предмет: Математика,
автор: 11karina2008
Предмет: Українська мова,
автор: Ananaslolkek
Предмет: Математика,
автор: Xuidsdasdsadsa
Предмет: Алгебра,
автор: Ксю20022501