Предмет: Математика,
автор: gyivc
!!!!ПОМОГИТЕ! !!!
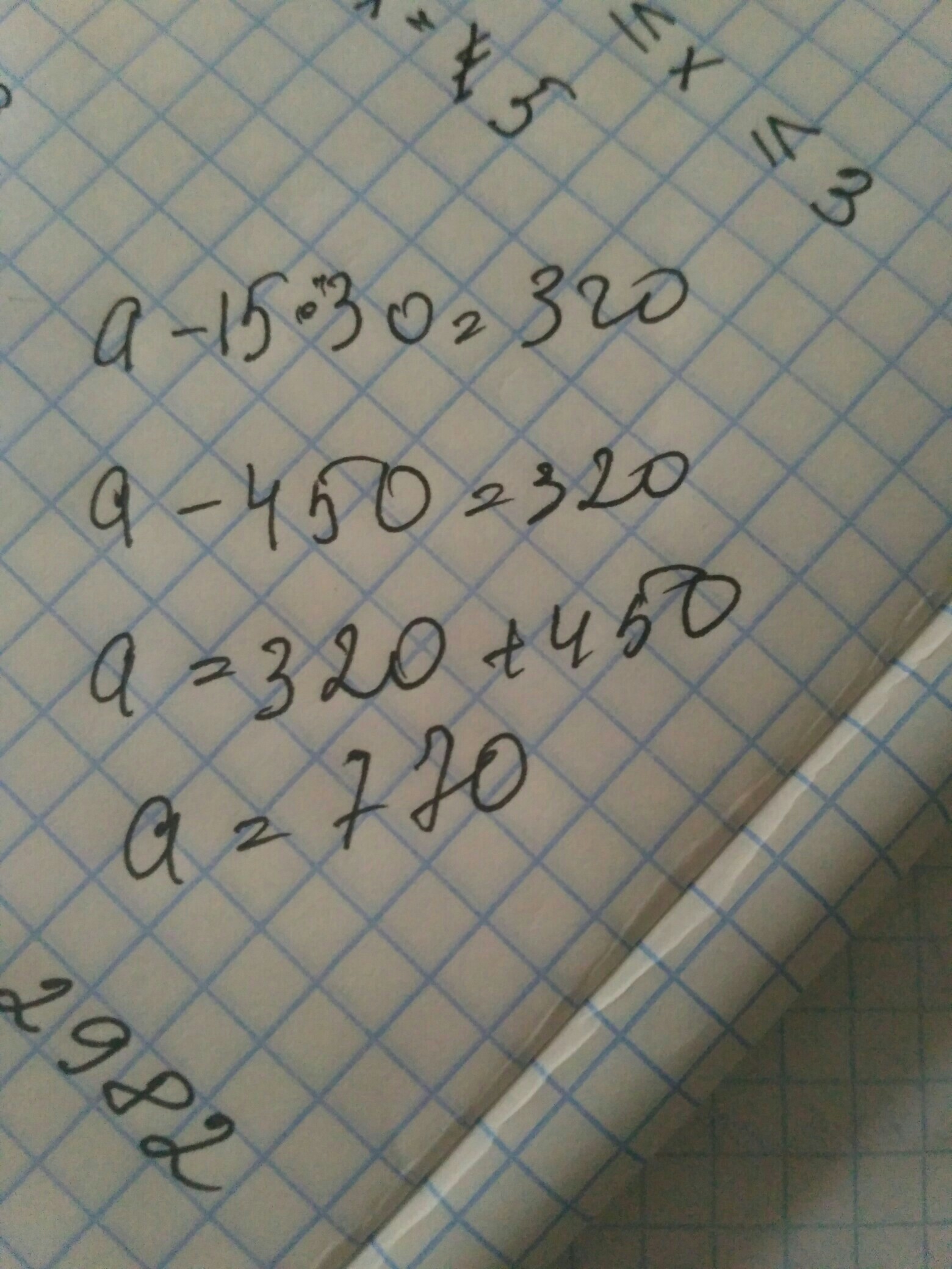
а-15×30=320
150×х×3=1800
12090-х=3090:30
С уравнения
Ответы
Автор ответа:
2
К сожалению все решать лень, но если хочешь
Приложения:
Автор ответа:
1
3090:30=103
12090-103=11987
х=11987
12090-103=11987
х=11987
gyivc:
Спасибо
Похожие вопросы
Предмет: Математика,
автор: kurmaeva2018000
Предмет: Математика,
автор: sty743383
Предмет: Английский язык,
автор: hoaa
Предмет: Биология,
автор: Lero4kaaa
Предмет: Физика,
автор: Аноним