Предмет: Алгебра,
автор: человек228gg
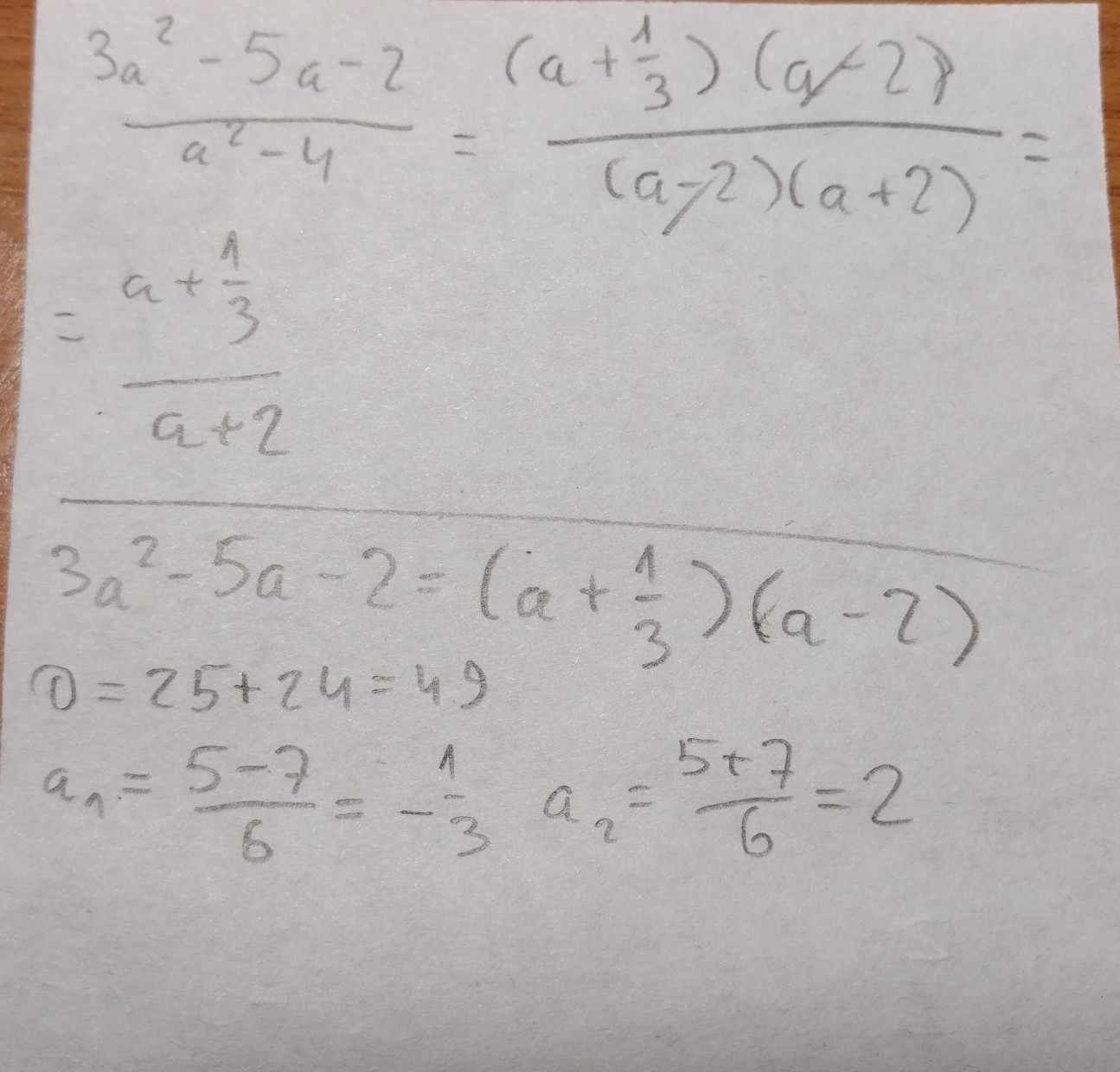
сократите дробь: 3a^2-5a-2/a^2-4(подробно ПЖ)
Ответы
Автор ответа:
15
Ответ в прикрепленном фото.
Приложения:
саня1111111111111111:
Тройку спереди пропустила
Там формула a(a-a1)(a-a2)
а=3 (то что спереди)
Похожие вопросы
Предмет: Литература,
автор: timati10070775
Предмет: Физика,
автор: Аноним
Предмет: Английский язык,
автор: arinagrebleva105
Предмет: Математика,
автор: Kristina200004
Предмет: Математика,
автор: Yanacika