Предмет: Алгебра, автор: Аноним

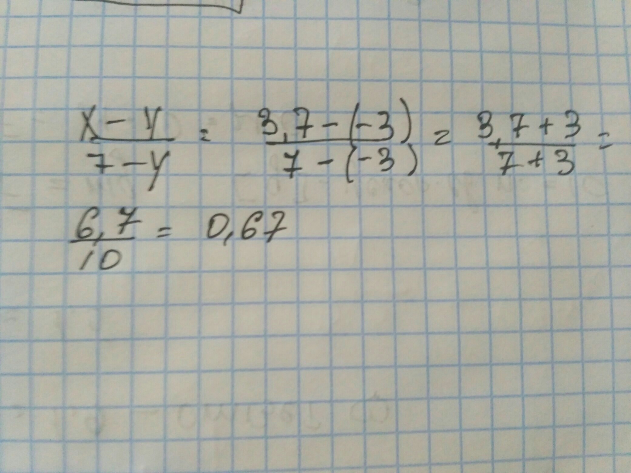
вычислите значение выражения (на фото)при x=3,7 y=-3

Приложения:

Ответы

Автор ответа: milenss
1
Пользуйся, не благодари
Приложения:

Аноним: спс
Похожие вопросы
Предмет: Литература, автор: arabis224
Помогите пожалуйста за 40 баллов
Найдите Эпитеты
Олицетворения,
Метафоры,
Сравнения в стихе Дон-Аминдо "Города и годы"
Старый Лондон пахнет ромом,
Жестью, дымом и туманом.
Но и этот запах может
Стать единственно желанным.

Ослепительный Неаполь,
Весь пронизанный закатом,
Пахнет мулями и слизью,
Тухлой рыбой и канатом.

Город Гамбург пахнет снедью,
Лесом, бочками и жиром,
И гнетущим, вездесущим,
Знаменитым добрым сыром.

А Севилья пахнет кожей,
Кипарисом и вервеной,
И прекрасной чайной розой,
Несравнимой, несравненной.

Вечных запахов Парижа
Только два. Они все те же:
Запах жареных каштанов
И фиалок запах свежий.

Есть чем вспомнить в поздний вечер,
Когда мало жить осталось,
То, чем в жизни этой бренной
Сердце жадно надышалось!..

Но один есть в мире запах
И одна есть в мире нега:
Это русский зимний полдень,
Это русский запах снега.

Лишь его не может вспомнить
Сердце, помнящее много.
И уже толпятся тени
У последнего порога.