Предмет: Физика,
автор: genadii16113
Необходим полноценный вывод формул а не только ответ. Номер 155
Приложения:
Ответы
Автор ответа:
0
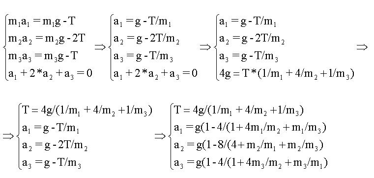
ось движения вниз
тело 1: сила тяжести m1g, сила натяжения нити Т, ускорение a1
тело 2: сила тяжести m2g, сила натяжения нити 2 * Т, ускорение a2
тело 3: сила тяжести m3g, сила натяжения нити Т, ускорение a3
из закона ньютона следуют 3 уравнения и кинематическая связь
m1a1=m1g-T
m2a2=m2g-2T
m3a3=m3g-T
а1 + 2*a2+a3 =0
тело 1: сила тяжести m1g, сила натяжения нити Т, ускорение a1
тело 2: сила тяжести m2g, сила натяжения нити 2 * Т, ускорение a2
тело 3: сила тяжести m3g, сила натяжения нити Т, ускорение a3
из закона ньютона следуют 3 уравнения и кинематическая связь
m1a1=m1g-T
m2a2=m2g-2T
m3a3=m3g-T
а1 + 2*a2+a3 =0
Приложения:
Похожие вопросы
Предмет: Математика,
автор: jahizhova
Предмет: Литература,
автор: ljkot2003
Предмет: Химия,
автор: polycov200412
Предмет: История,
автор: lenok0lenok