Предмет: Математика,
автор: srrsd90
Не как не могу решить может кто поможет?
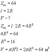
Площадь осевого сечения цилиндра равна 64 см 2, а его образующая равна диаметру основания. Найдите объем цилиндра.
Нужен ответ срочно, заранее спасибо.
Ответы
Автор ответа:
1
Вот лови, только не забудь написать см^3
Приложения:
srrsd90:
Спасибо!
Автор ответа:
0
блин, перегнали( помочь ещё чемто?
Похожие вопросы
Предмет: Алгебра,
автор: zhassulan228666
Предмет: Английский язык,
автор: yasminwwx
Предмет: Математика,
автор: masak9671
Предмет: Алгебра,
автор: kpdelck
Предмет: География,
автор: ТыЗнаешь