Предмет: Математика,
автор: MaschaPro
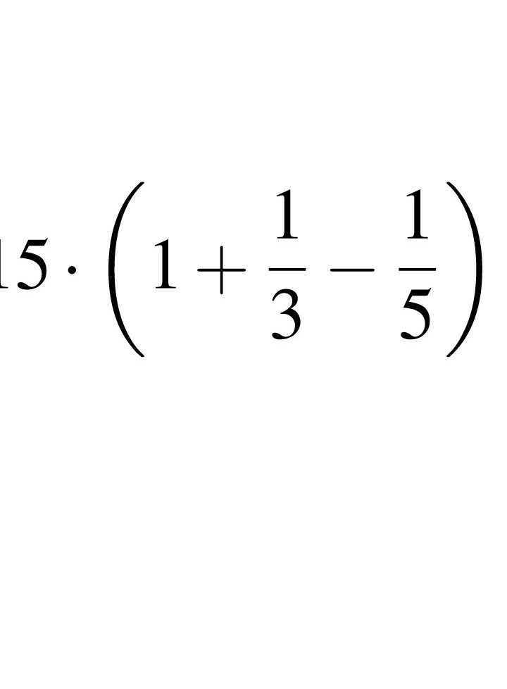
За ответ даю 30 баллов решите пожалуйста по действием через 1час в школу
Приложения:
Ответы
Автор ответа:
1
1/3-1/5=5/15-3/15=2/15
1+2/15=1 2/15
15*1 2/15=15*17/15=17
1+2/15=1 2/15
15*1 2/15=15*17/15=17
Автор ответа:
1
Решение на фото....
Итоговый ответ 13.
Давай, удачи)
Итоговый ответ 13.
Давай, удачи)
Приложения:
Похожие вопросы
Предмет: Математика,
автор: leylushamamedzade
Предмет: Математика,
автор: sahsapro04
Предмет: Қазақ тiлi,
автор: rsendeleev
Предмет: Литература,
автор: оля774
Предмет: Химия,
автор: samoylovanita