Предмет: Алгебра,
автор: Аноним
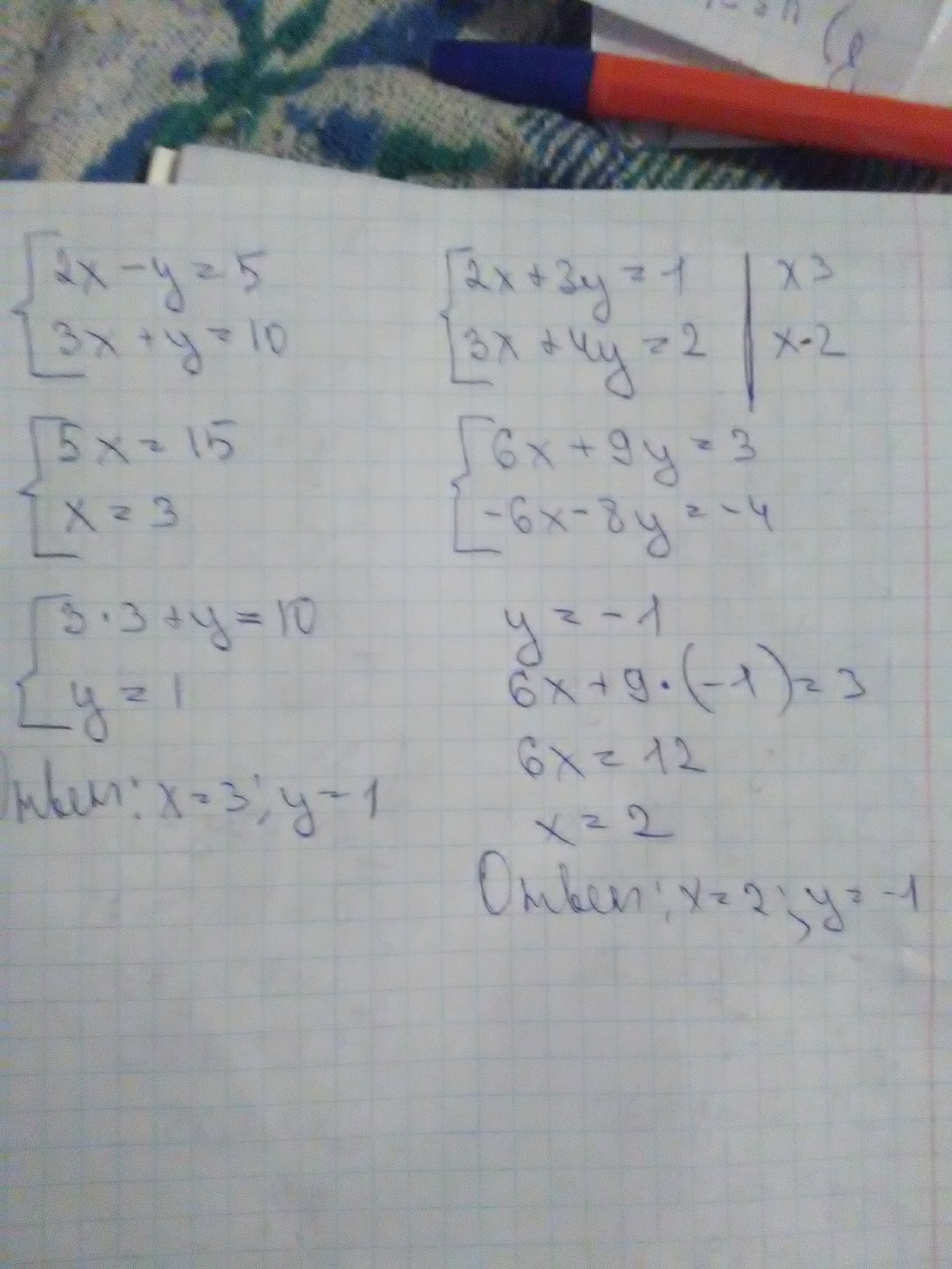
мне нужно их решить полностью)
Пж помогите)
Приложения:
Ответы
Автор ответа:
1
.........................
Приложения:
Похожие вопросы
Предмет: Литература,
автор: dassha10
Предмет: Английский язык,
автор: Miа16
Предмет: Геометрия,
автор: VarenikPo
Предмет: Биология,
автор: 200427юЛиЯ
Предмет: Математика,
автор: tujhg