Предмет: Физика,
автор: Alecseivano
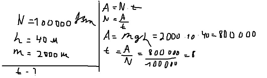
Сколько времени должен работать насос мощностью 100кВт, чтобы из шахты, глубиной 40м, откачать воду массой 2 т?
Ответы
Автор ответа:
2
t=A/N. A=mgh. A=2000*10*40=800 000 Дж.t=800 000/100 000=8 c
Приложения:
Похожие вопросы
Предмет: История,
автор: SigmaBeast
Предмет: История,
автор: kiril4ikgawr
Предмет: Алгебра,
автор: koksarovaelizaveta99
Предмет: География,
автор: Sonya15311
Предмет: Математика,
автор: Сара111111111