Предмет: Физика,
автор: lubugarusova
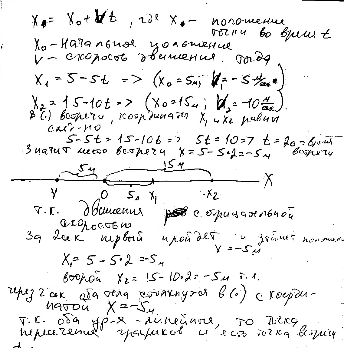
Даны уравнения движения двух тел : x1=5-5t и x2=15-10t.Посторойте графически движения этих тел и определите место и время их встреч графически и аналитически
Ответы
Автор ответа:
0
Даны уравнения движения двух тел : x1=5-5t и x2=15-10t.Посторойте графически движения этих тел и определите место и время их встреч графически и аналитически
Приложения:
Похожие вопросы
Предмет: Математика,
автор: minnugylovaaelita
Предмет: Математика,
автор: hamidovnalila
Предмет: Русский язык,
автор: iThriftwork
Предмет: Алгебра,
автор: Мерлин13