Предмет: Алгебра,
автор: WeirdMe01ver
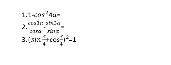
Тригонометрия. СРОчно!
Приложения:
Ответы
Автор ответа:
1
..................................
Приложения:
Похожие вопросы
Предмет: Окружающий мир,
автор: alimkhan201011
Предмет: Русский язык,
автор: danabugrova71
Предмет: Математика,
автор: dashashevchyk727
Предмет: Математика,
автор: тим148