Предмет: Алгебра,
автор: shugaevandrey1
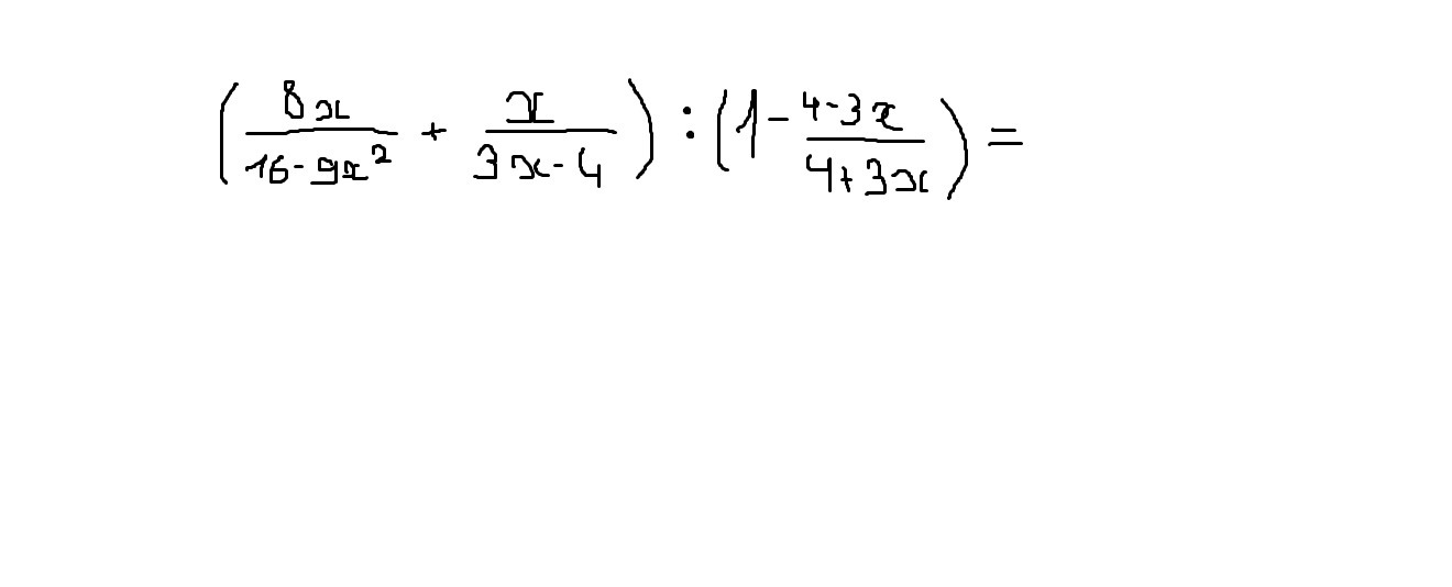
Нужно упростить выражение ( пожалуйста сделайте решение на листочке ) 20 б.
Приложения:
Ответы
Автор ответа:
1
Уоть так уоть ¯\_(ツ)_/¯
Приложения:
в общем 1 /6 получается
там сократить надо
не, так нельзя делать
а в самом низу там какая цифра в начале
Автор ответа:
0
Решение смотри во вложении.
Приложения:
Похожие вопросы
Предмет: Физика,
автор: anuto4ka276
Предмет: Химия,
автор: hddddhfhshs
Предмет: Математика,
автор: alexeymoroz9gmailcom
Предмет: Математика,
автор: Danila20058
Предмет: Математика,
автор: mvdvaka
24
=
4 · 1
4 · 6
=
1
6