Предмет: Математика,
автор: evaava098
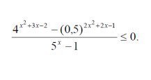
4^(x^2+3x-2) - 0,5^(2x^2+2x-1)/ 5^(x) - 1 ≤ 0 Подробно если можно :)
Приложения:
Ответы
Автор ответа:
1
Получается как-то так...
Приложения:
Похожие вопросы
Предмет: Математика,
автор: zhukovroma009
Предмет: Английский язык,
автор: int09398
Предмет: Математика,
автор: sokolplay1234
Предмет: Математика,
автор: anya2814
Предмет: Математика,
автор: Айлин123456