Предмет: Физика,
автор: Аноним
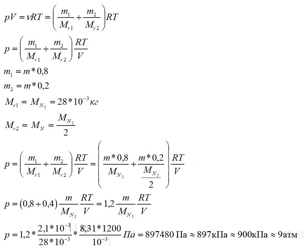
В баллоне вместимостью 1 л находится молекулярный азот, масса которого равна 2,1 г. Газ нагревают до температуры 1200 градусов цельсия, при которой 20 % молекул азота распадается на атомы. Определите давление смеси в балоне.
Ответы
Автор ответа:
3
смотри решение во вложении
Приложения:
Похожие вопросы
Предмет: Информатика,
автор: fhshhcfgxhchs
Предмет: Английский язык,
автор: artem135561
Предмет: Математика,
автор: petrenkooleg295
Предмет: Математика,
автор: katuha04