Предмет: Математика,
автор: dilfuzamir95
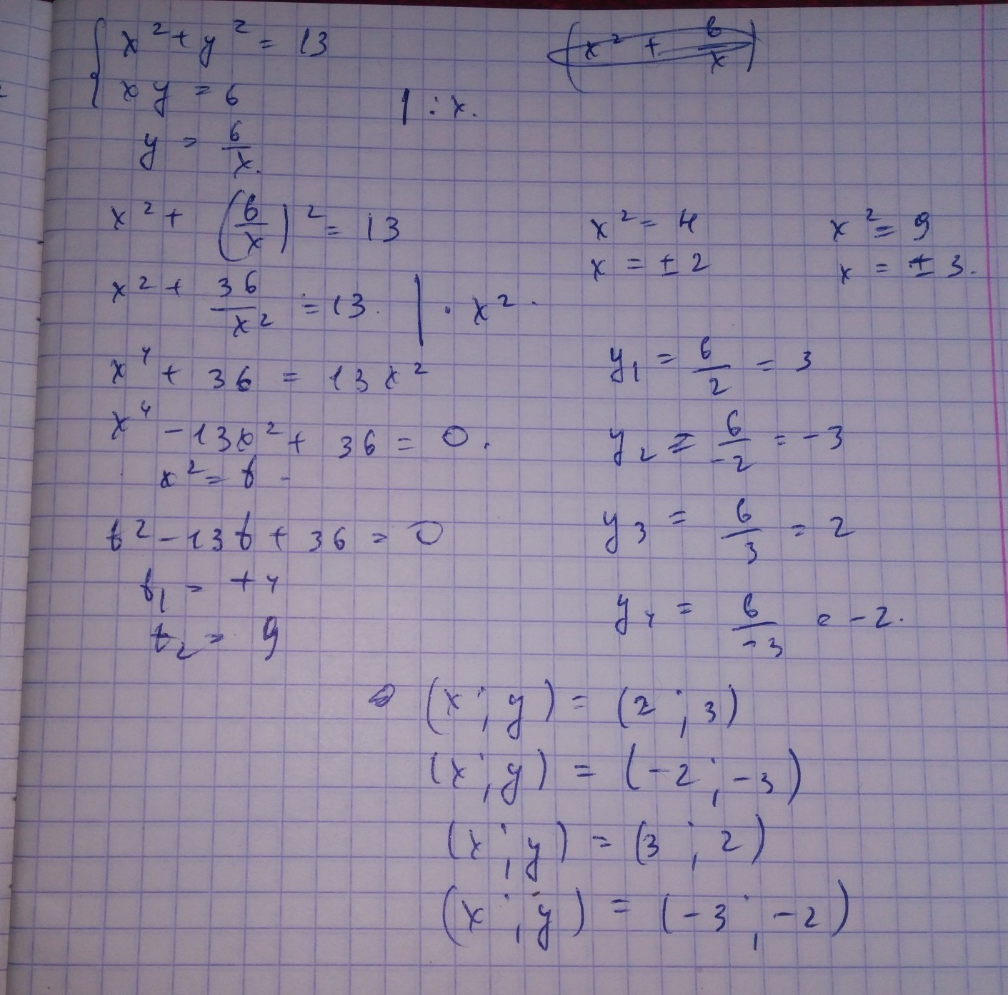
решить систему уравнений
x^2+y^2=13
xy=6
Ответы
Автор ответа:
7
решение в приложении..
Приложения:
dilfuzamir95:
мне нужно методом виета
Автор ответа:
2
{x^2+y^2=13;{xy=-6
x = -6 / y( -6 / y ) ^2 + y^2 = 1336/y^2 + y^2 = 1336 + y^4 = 13y^2y^4 - 13y^2 +36 = 0y^2 = tt^2 - 13t +36=0по теореме виета t1+t2=13t1*t2=36
t1= 4 t2= 9вернемся к yy^2=4 y=2; -2y^2=9 y=3 ;-3
x=-6/2 x=-3; 3x= 6/3 x =-2 ;2
x = -6 / y( -6 / y ) ^2 + y^2 = 1336/y^2 + y^2 = 1336 + y^4 = 13y^2y^4 - 13y^2 +36 = 0y^2 = tt^2 - 13t +36=0по теореме виета t1+t2=13t1*t2=36
t1= 4 t2= 9вернемся к yy^2=4 y=2; -2y^2=9 y=3 ;-3
x=-6/2 x=-3; 3x= 6/3 x =-2 ;2
Похожие вопросы
Предмет: Русский язык,
автор: nikitafomin0535
Предмет: Математика,
автор: nezzadjdj
Предмет: Химия,
автор: serj69
Предмет: География,
автор: владислав64
Предмет: Математика,
автор: приветикизчел