Предмет: Математика,
автор: EbirPoMateshe
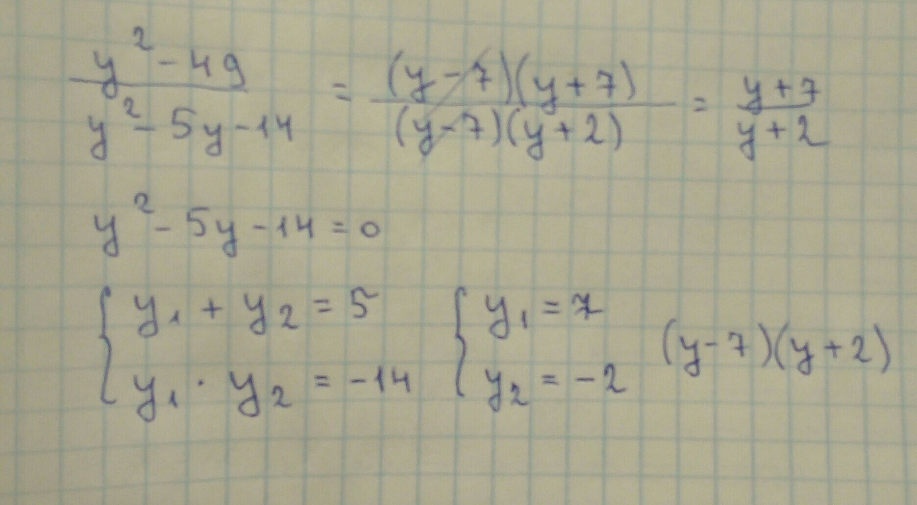
Сократить дробь y^2- 49 все деленное на y^2 -5y-14
ЯгодкаЯлесная:
может +14?
Ответы
Автор ответа:
0
фоточка тебе в помощь ;)
Приложения:
Похожие вопросы
Предмет: Физика,
автор: andriydudka51
Предмет: Русский язык,
автор: anelaimambaeva15
Предмет: Литература,
автор: davydovgleb04
Предмет: Химия,
автор: NastyaZayas48