Предмет: Математика,
автор: pliusnina
Срооооооччннноооо!!!!!!!!!!!!!!!!!!11
Приложения:
Ответы
Автор ответа:
1
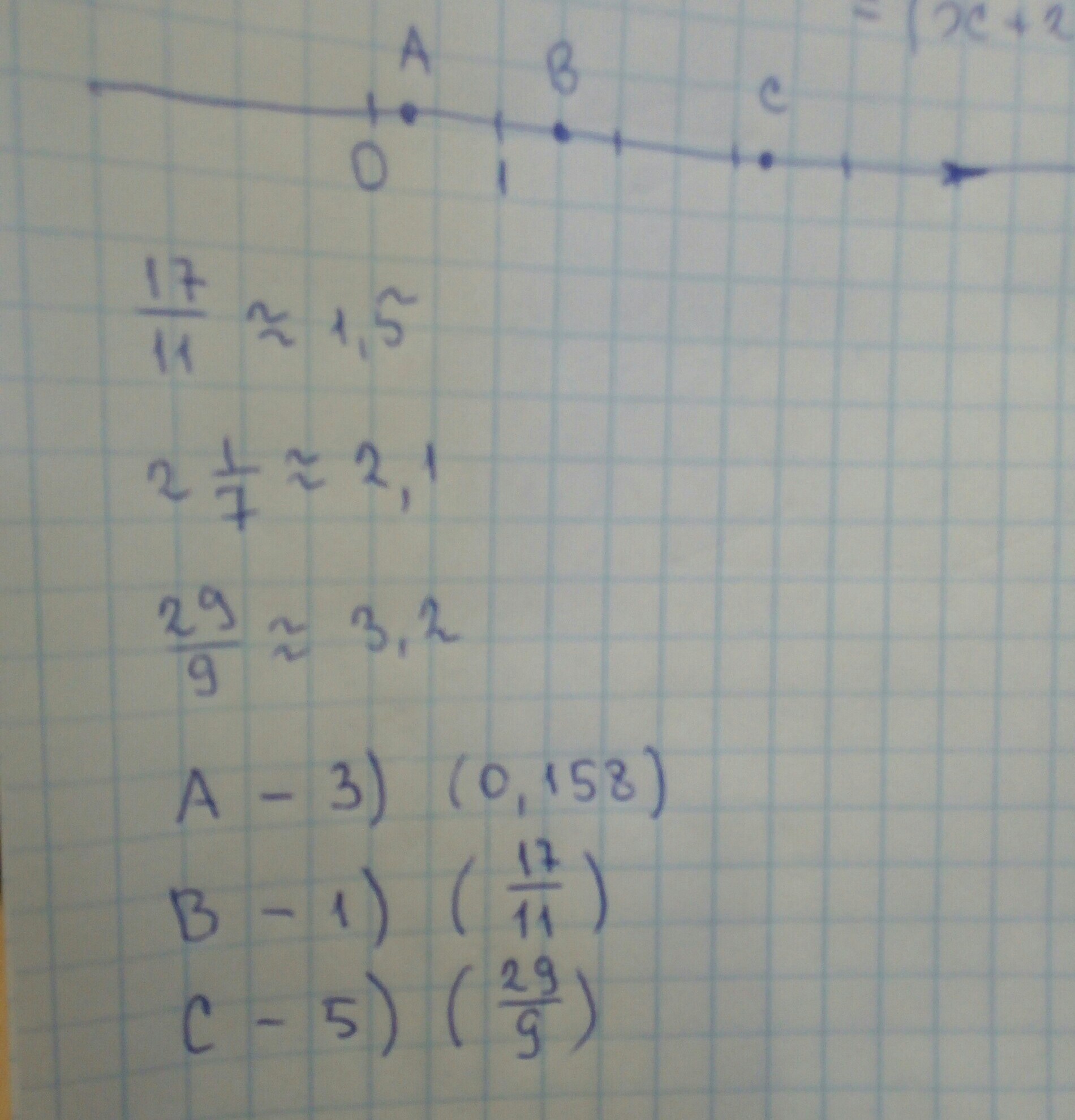
А - 3, В - 1, С - 5. На счет буквы А,у нас есть два варианта 3) и 4),но,если уравняем знаки.то мы поймем,что ответ под номером 3) меньше,а на координатной прямой она изображена ближе к нулю.Чтобы найти результат под буквой В мы должны числитель разделить на знаменатель,то есть 17:11=1 6/11.Буква С располагается между координатой 3 и 4,следовательно 29:9=3 2/9
Автор ответа:
1
фоточка тебе в помощь ;)
Приложения:
Похожие вопросы
Предмет: Физика,
автор: arinell1
Предмет: Литература,
автор: pfedanuk
Предмет: Физика,
автор: 3assia3
Предмет: Химия,
автор: kristsergee201