Предмет: Алгебра,
автор: ЧудикЕдинорог
это надо решить письменно
пж помогите люди добрые
Сбосибо в заранее
Приложения:
Ответы
Автор ответа:
0
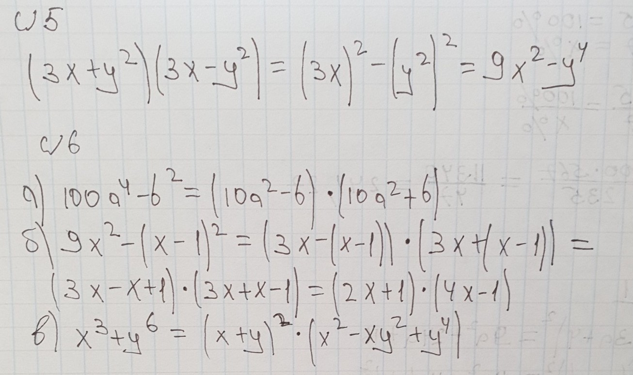
Решение показано на фото!
Приложения:
Автор ответа:
0
Подробное решение на фото
Приложения:
Похожие вопросы
Предмет: Математика,
автор: 1Beeeebra1
Предмет: Математика,
автор: diana89z88
Предмет: Математика,
автор: shulmar221l
Предмет: Алгебра,
автор: Akimovaaa18493