Предмет: Алгебра,
автор: fghj47448b
Решите Уравнение:
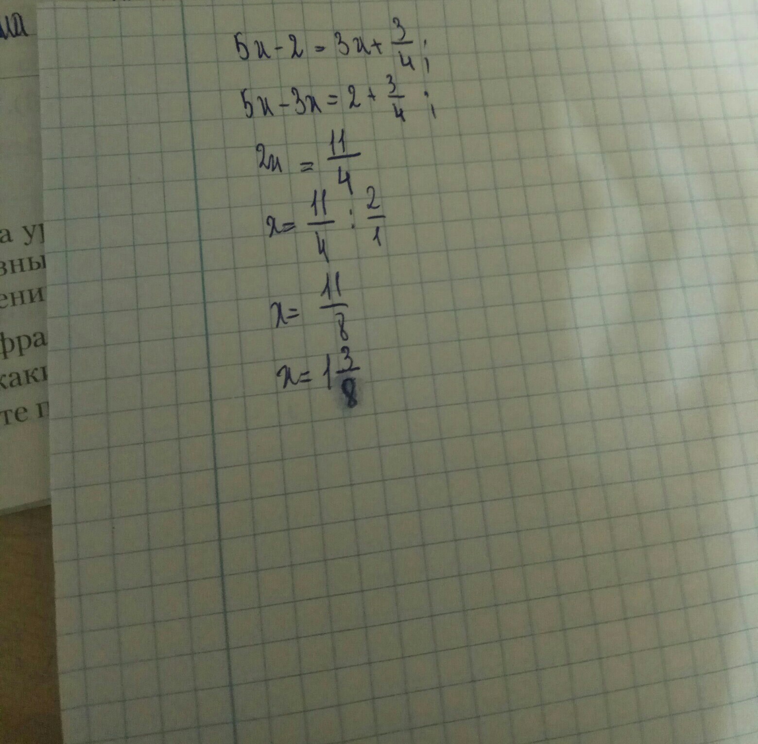
5x-2=3x+3/4
Ответы
Автор ответа:
1
вот)))))))))))))))))))))
Приложения:
Похожие вопросы
Предмет: Українська мова,
автор: ksuk8
Предмет: Геометрия,
автор: Аноним
Предмет: Математика,
автор: Olaguahka
Предмет: Музыка,
автор: Флейтисточка