Предмет: Алгебра,
автор: eukekueukeukeup72q9j
Очень надо а то я туповат для этого
Приложения:
Ответы
Автор ответа:
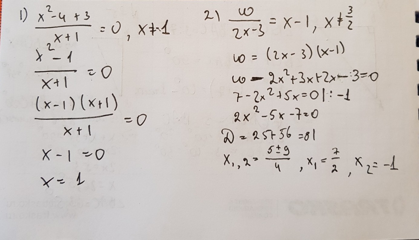
1
Не знаю какой ты класс, но второе решается только через дискриминат или корни, так что либо ты уже это прошло, либо ошибка в задании
Приложения:
Похожие вопросы
Предмет: Қазақ тiлi,
автор: nuraika1134
Предмет: Английский язык,
автор: lizaruseva2020
Предмет: География,
автор: konkanegki
Предмет: Алгебра,
автор: 123Zazaza
Предмет: Математика,
автор: ник5825