Предмет: Геометрия, автор: умник5010

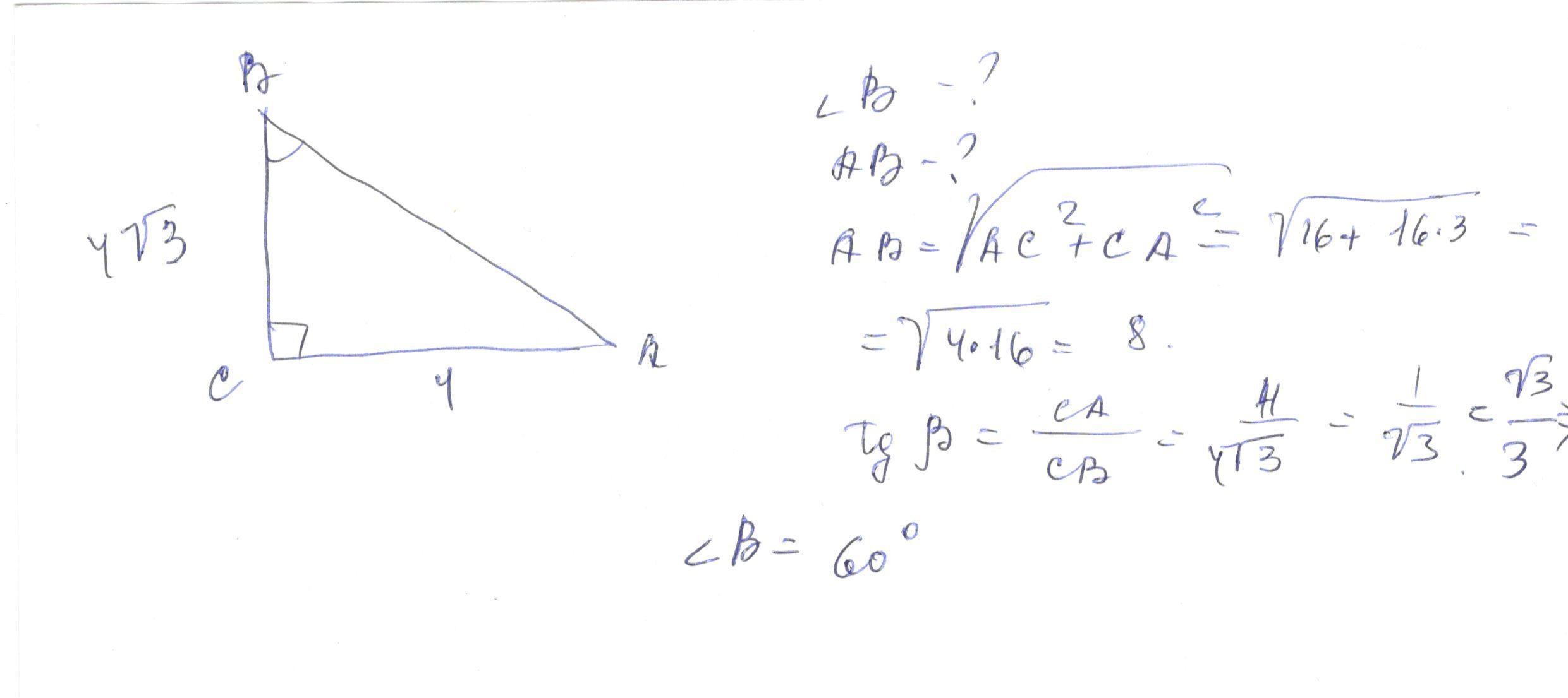
прям в прямоугольном треугольнике ABC, угол C=90,AC=4см, CB=4 корня из 3.Найдите угол B и гипотенузу АВ

Ответы

Автор ответа: KjkfKthf
1
решение в приложении
Приложения:

умник5010: ок
умник5010: Боковая сторона трапеции 5 корень из 2 см,образует с большим основанием угол в 45 градусов.Основание трапеции равны 12 см и 20 см. Найдите площадь трапеций
умник5010: В прямоугольном треугольнике ABC, угол B=90, BC=15, высота BD=12 см.Найдите АC и cosA
KjkfKthf: Проверь в первом задании данные, а тоя прихожу к противоречию. Пока второе посмотрю
умник5010: посмотрим в моем профиле я выложил фото с заданиями
KjkfKthf: сейчас, второе уже решила
умник5010: спасибо
умник5010: точно правильно?
умник5010: откуда ты получила 16?
умник5010: Дано: треугольник ОКА. угол К=90 катет АК=9 корня из 3, угол КАО=30.Найдите второй и гипотенузу треугольника.
Похожие вопросы
Предмет: Геометрия, автор: Mari2453
Предмет: Алгебра, автор: Роза155