Предмет: Математика,
автор: sergeycoollll
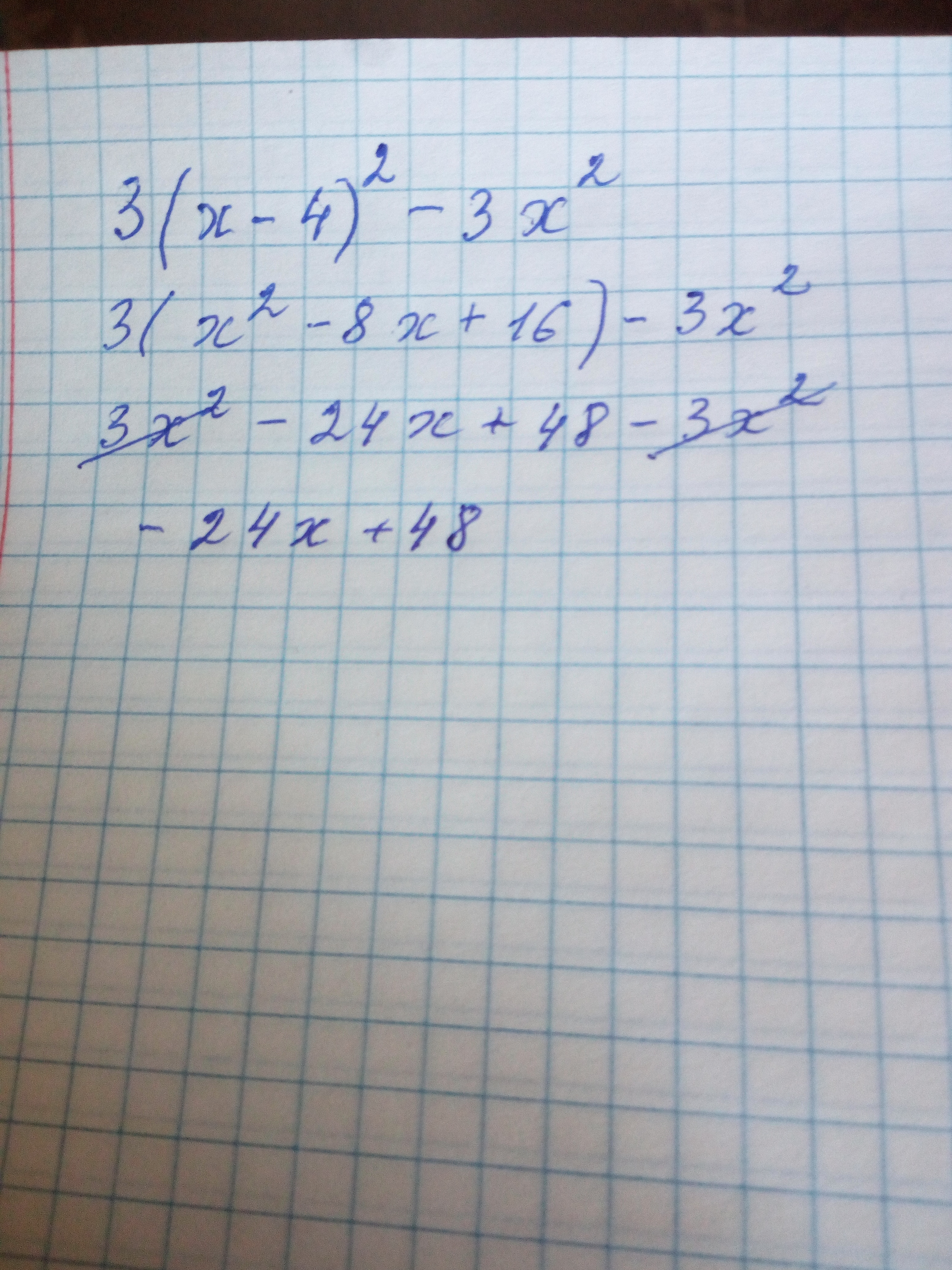
3(x-4)^2-3x^2
решите плиз
Ответы
Автор ответа:
0
Смотри фото))))))))))))))))))))
Приложения:
Похожие вопросы
Предмет: Информатика,
автор: didikurch
Предмет: Математика,
автор: maifdasflasfl
Предмет: Математика,
автор: Аноним
Предмет: Математика,
автор: твоямама3
Предмет: Музыка,
автор: gena40