Предмет: Математика, автор: saltanatsultan

Помогите с решением ∫ dx/x*√ln x

Ответы

Автор ответа: CatDog1018
1
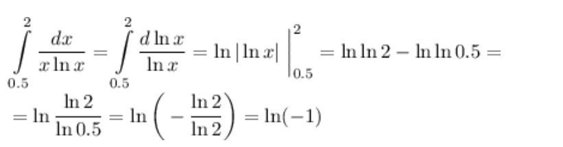
Вот такое решение.))
Приложения:
Похожие вопросы
Предмет: Математика, автор: jdhd8wjwjw
Предмет: Қазақ тiлi, автор: Аноним
Предмет: История, автор: abdullayevanurlana06
Предмет: Математика, автор: fexreddincabbar
Предмет: Математика, автор: денчик157