Предмет: Алгебра,
автор: Vitaluizaharov
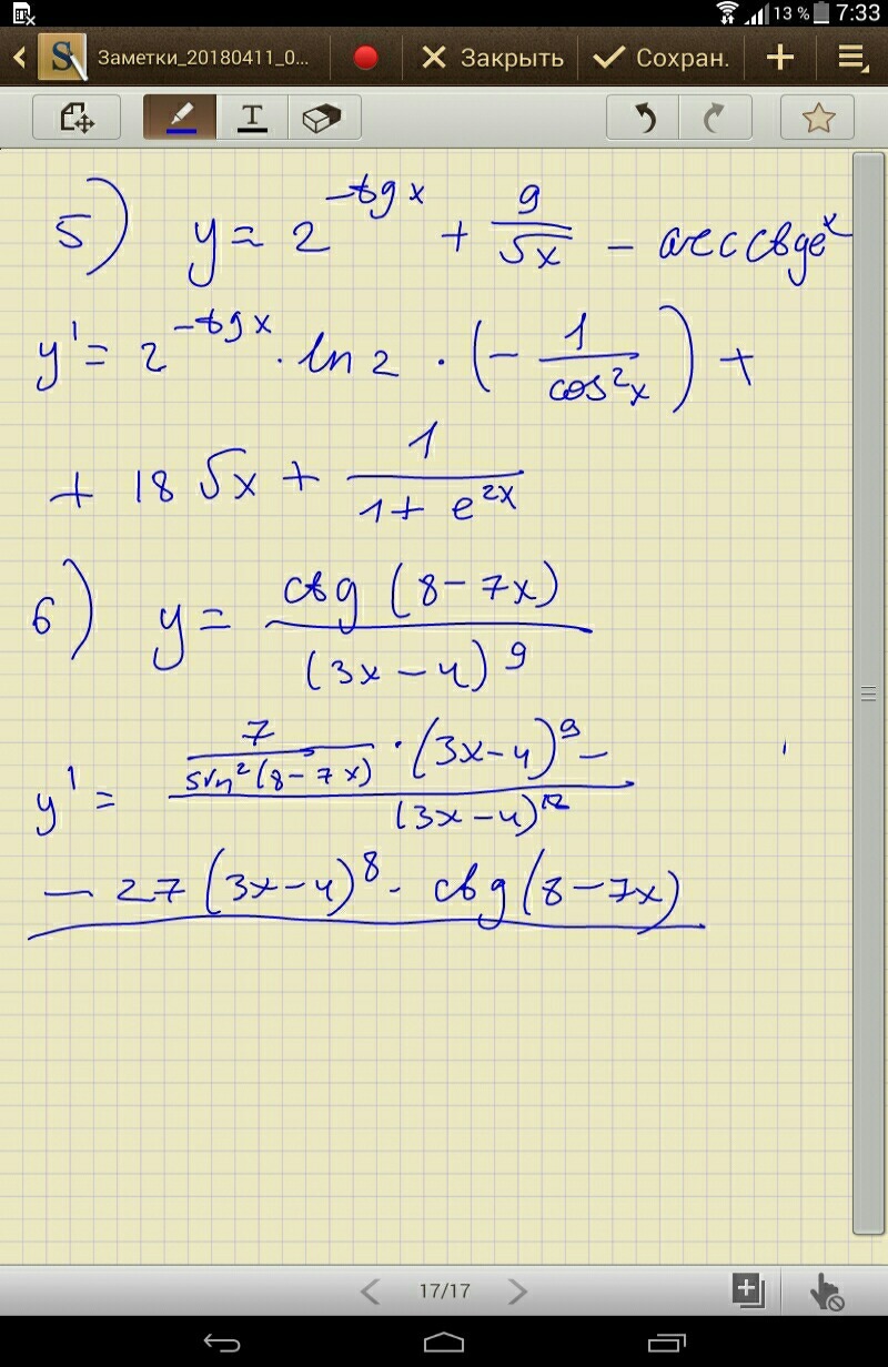
Помогите решить задание 5,6
тема" производная сложной функции" . Даю 30 баллов
Приложения:
Ответы
Автор ответа:
1
...........................
Приложения:
Похожие вопросы
Предмет: Қазақ тiлi,
автор: rufinagzzv
Предмет: Русский язык,
автор: student0000145607010
Предмет: Обществознание,
автор: dariakonkosheva
Предмет: Алгебра,
автор: safiklyzhko