Предмет: Алгебра,
автор: s5384
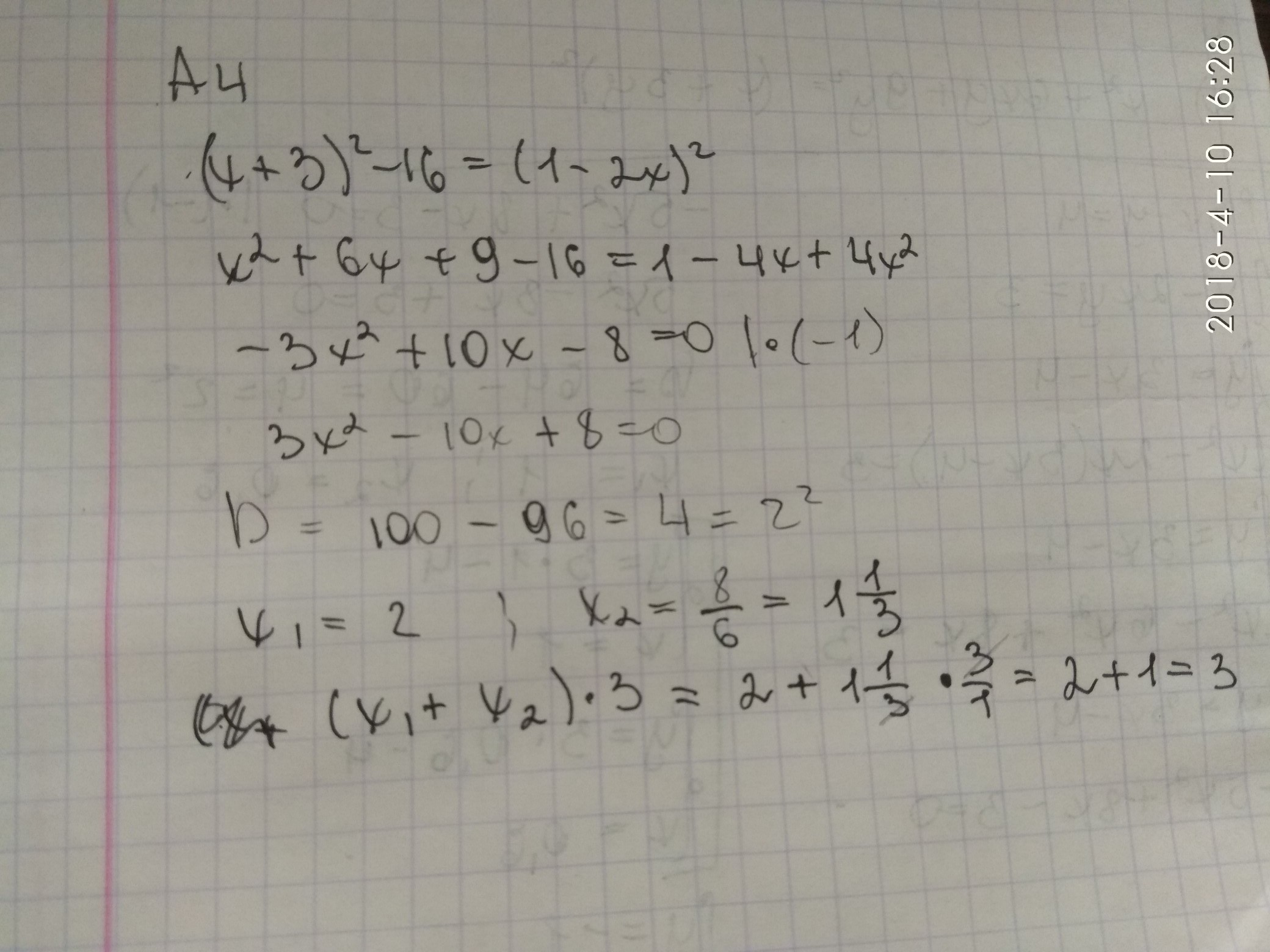
Решите то, что изображено на картинке. (Упростить уравнение, т.е привести к виду ах^2+вх+с=0, затем решать и ответить на поставленный вопрос)
Приложения:
Ответы
Автор ответа:
0
Так что ли?? Вроде да))
Приложения:
Похожие вопросы
Предмет: География,
автор: sisenalievaanelya40
Предмет: Українська література,
автор: wryyysm
Предмет: Алгебра,
автор: youkep9
Предмет: Математика,
автор: ffhbd