Предмет: Алгебра,
автор: Ivan2gi
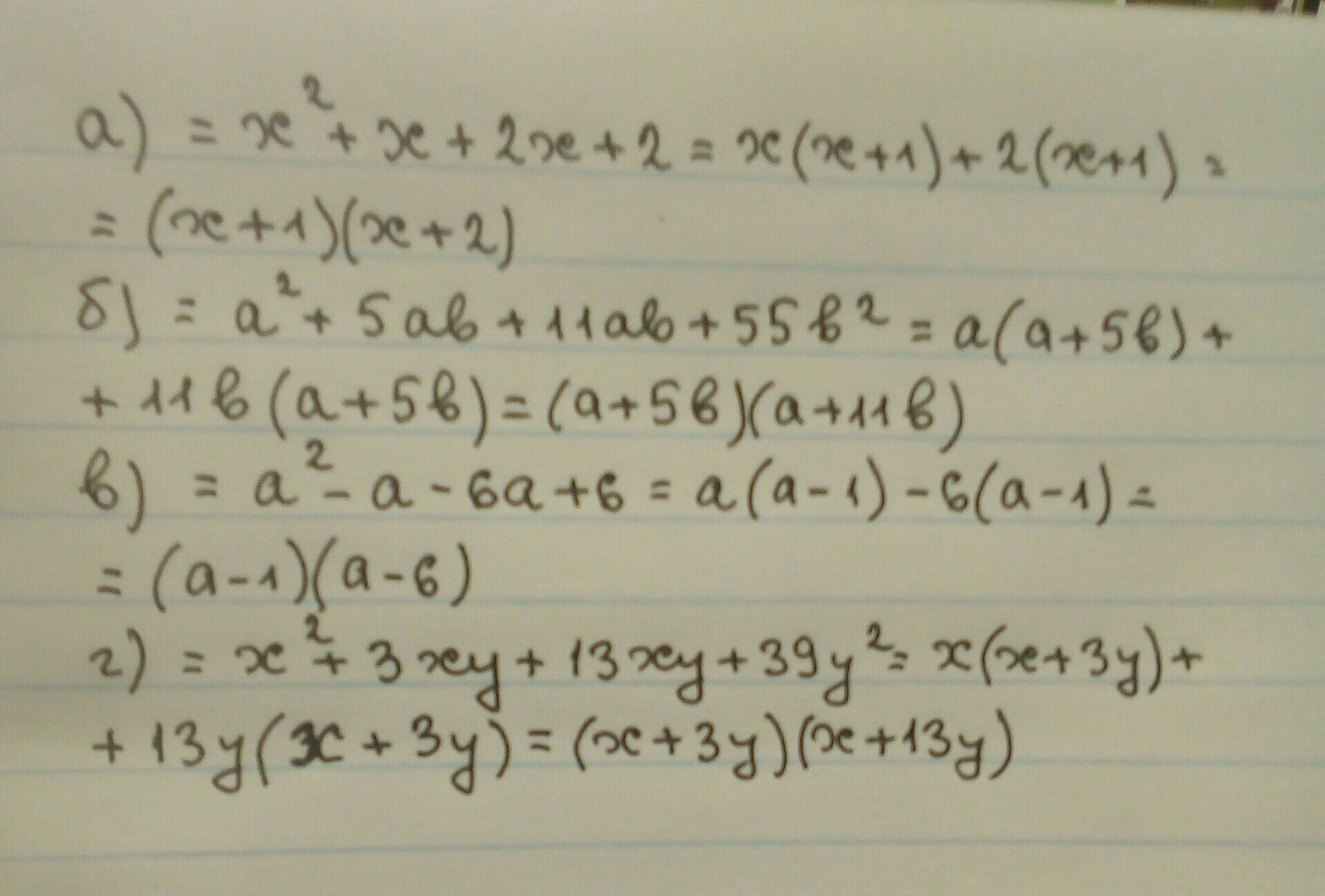
Разложите многочлен на множетели, представив один из его членов в виде суммы подобных слагаемых:
а)x^2+3x+2
б)a^2+16ab+55b^2
в)a^2-7a+6
г)x^2+16xy+39y^2
Ответы
Автор ответа:
0
фоточка тебе в помощь ;)
Приложения:
Похожие вопросы
Предмет: Литература,
автор: matvejprizennikov
Предмет: Геометрия,
автор: glukhikhyekaterina1
Предмет: Английский язык,
автор: batrik5
Предмет: Алгебра,
автор: Mariya64
Предмет: Математика,
автор: нюша9з