Предмет: Алгебра,
автор: Ket601
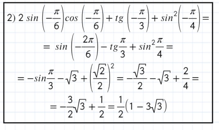
Помогите решить тригонометрические формулы
Приложения:
Ответы
Автор ответа:
0
решения во вложениях
Приложения:
Похожие вопросы
Предмет: Биология,
автор: prrimc
Предмет: Информатика,
автор: gordeev13
Предмет: Математика,
автор: zherihin5kostya
Предмет: Биология,
автор: svetikkiseleva
Предмет: Геометрия,
автор: ulka200128