Предмет: Математика, автор: UchenikVseyaRusi

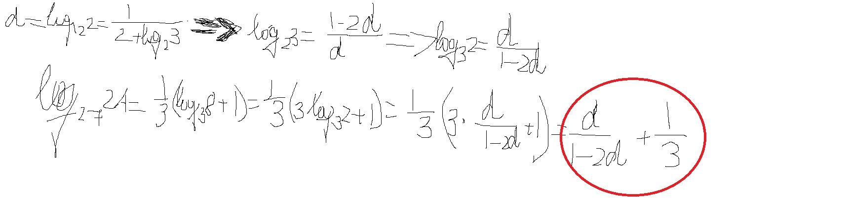
Выразить log27 24 через d, зная, что d=log12 2.

Ответы

Автор ответа: igorShap
0
ЁЁЁЁЁЁЁЁЁЁЁЁЁЁЁЁЁЁЁЁЁЁЁЁ
Приложения:
Похожие вопросы
Предмет: Алгебра, автор: vladimirznanija
Предмет: История, автор: AlinkaL2002