Предмет: Математика,
автор: Данила200311
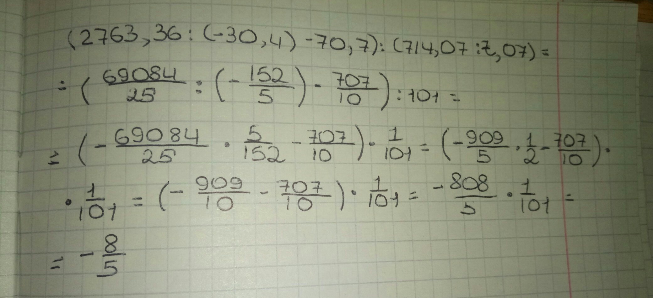
(2763,36:(-30,4)-70,7):(714,07:7,07)
Ответы
Автор ответа:
3
решение на листочке)
Ответ : -8\5
удачи :)
Ответ : -8\5
удачи :)
Приложения:
devochka200:
все правильно
Похожие вопросы
Предмет: Физика,
автор: elovoe2021
Предмет: Биология,
автор: kaduha22
Предмет: Қазақ тiлi,
автор: Flloowweerr
Предмет: Математика,
автор: Анжелика20061