Предмет: Математика,
автор: alonabyiankova
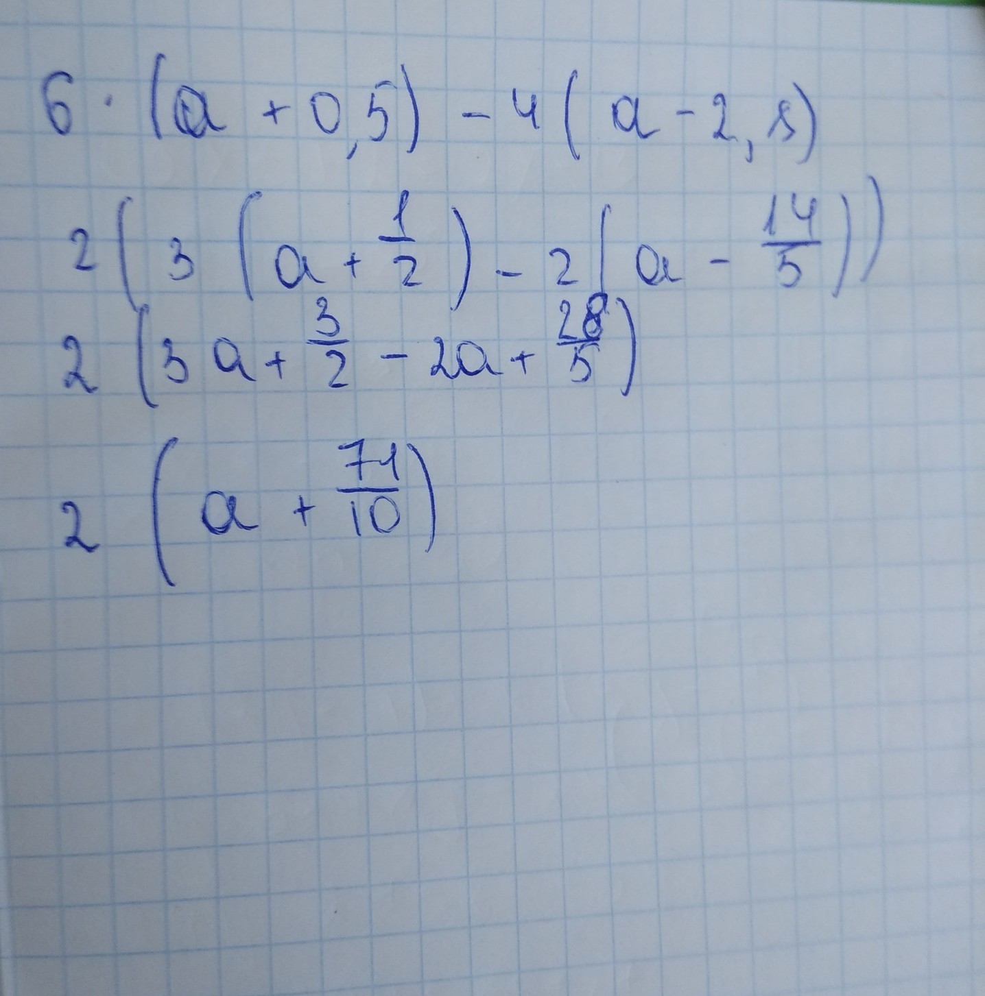
Спростіть вираз :6*(а+0,5)-4*(а-2,8)
Ответы
Автор ответа:
1
держи, фото прикрепила, удачи.
Приложения:
Похожие вопросы
Предмет: Русский язык,
автор: raudoviculia
Предмет: Английский язык,
автор: bjalixbjmd
Предмет: Физика,
автор: bogomazulana80
Предмет: Математика,
автор: рафис13
Предмет: Математика,
автор: Lazuli