Предмет: Алгебра,
автор: saschacf2017p4r9oi
решите систему пожалуйста голова болит жуть как
Приложения:
Ответы
Автор ответа:
1
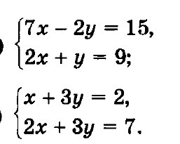
1. выразим y во втором уравнении. y = 9 - 2x
Подставим это в 1 уравнение: 7x - 18 + 4x = 15, отсюда x = 3
Подставим во второе уравнение значит x, y = 9 - 6 = 3
Ответ: (3;3)
2. выразим x в 1 уравнении: x = 2 - 3y
подставим во второе уравнение
2(2-3y) + 3y = 7
y = -1, подставим в 1 уравнение
x = 2- 3y = 5
Ответ: (5;-1)
Подставим это в 1 уравнение: 7x - 18 + 4x = 15, отсюда x = 3
Подставим во второе уравнение значит x, y = 9 - 6 = 3
Ответ: (3;3)
2. выразим x в 1 уравнении: x = 2 - 3y
подставим во второе уравнение
2(2-3y) + 3y = 7
y = -1, подставим в 1 уравнение
x = 2- 3y = 5
Ответ: (5;-1)
Похожие вопросы
Предмет: Английский язык,
автор: 8888888YESqwerty
Предмет: Математика,
автор: darmahanovmarat
Предмет: Қазақ тiлi,
автор: Prrvajderdarivejder
Предмет: Математика,
автор: ученик393