Предмет: Математика,
автор: МаргаритаМаттева25
помогите
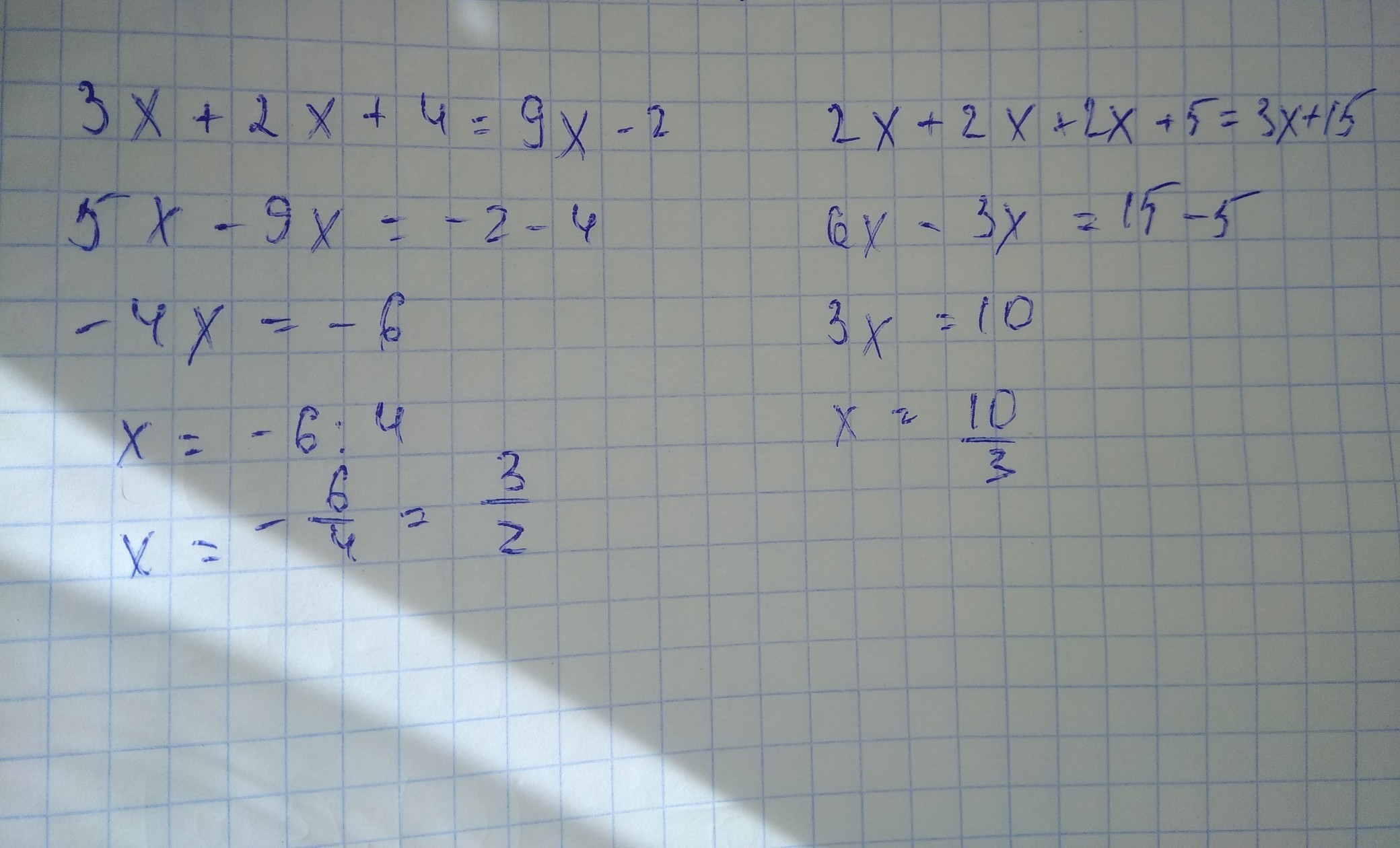
3х + 2х + 4 = 9х - 2
2х + 2х + 2х + 5 = 3х + 15
Ответы
Автор ответа:
0
лови решение, фото прикрепила.
удачи♡
удачи♡
Приложения:
Похожие вопросы
Предмет: История,
автор: Dmitrii55d
Предмет: Русский язык,
автор: Аноним
Предмет: Математика,
автор: Аноним
Предмет: Биология,
автор: Hasyk2irocka
Предмет: Математика,
автор: Nikitacom12