Предмет: Математика,
автор: ladylandish
Решите пример полностью . Только ответ мне не нужен
Приложения:
Ответы
Автор ответа:
1
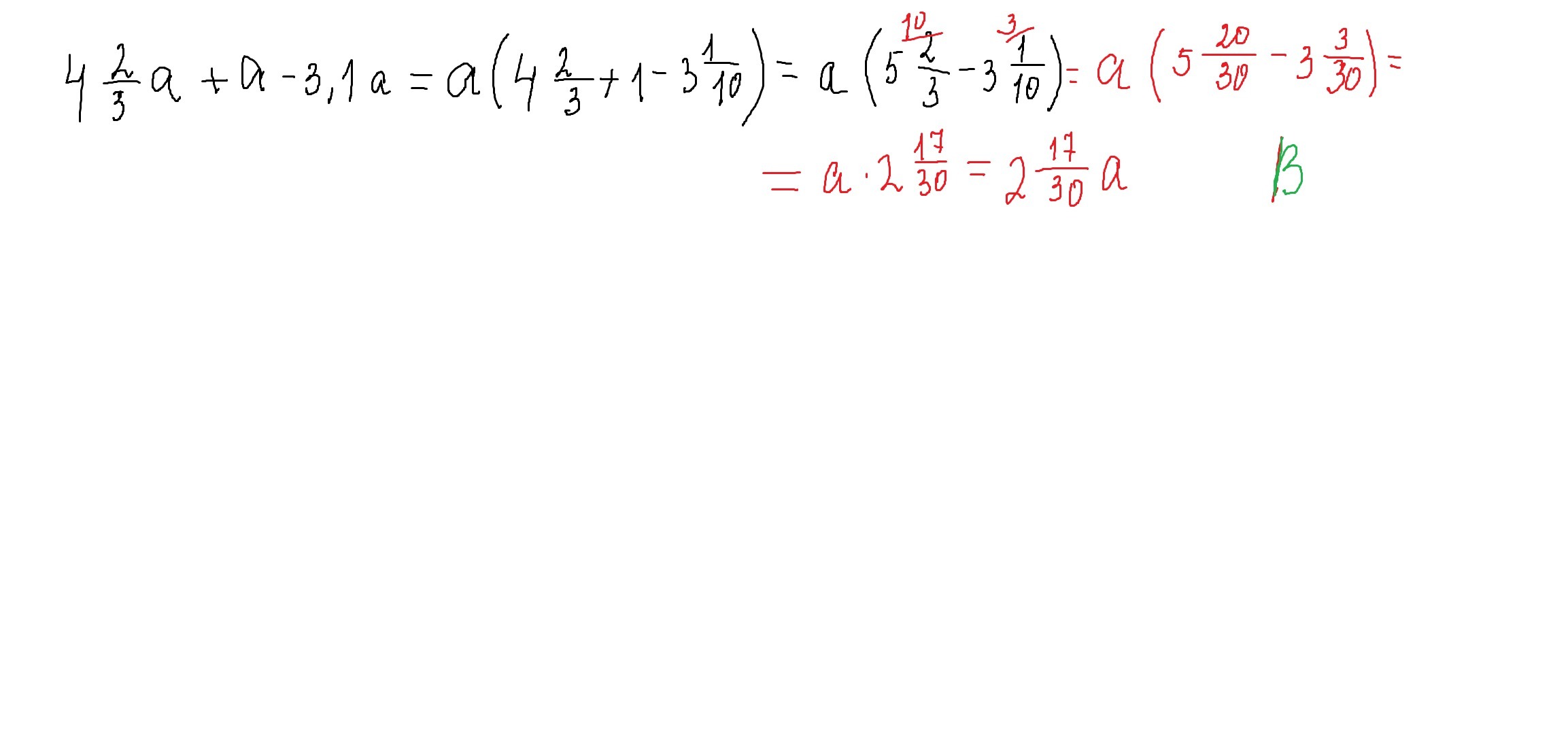
вынесем общий множитель А за скобки и упростим выражение
Приложения:
Автор ответа:
0
дробь 4 две третьихA+a-3,1a=5 две третьихA-3,1a=5 двадцать третьих - 3 целых 3 тридцатых=2 17/30
Похожие вопросы
Предмет: Математика,
автор: springtimeandheat
Предмет: Русский язык,
автор: anastasiaagutkina34
Предмет: История,
автор: ayzatyerhan200995
Предмет: Физика,
автор: виктория121303
Предмет: Математика,
автор: SYABBA2207