Предмет: Математика,
автор: Гуманитарий69
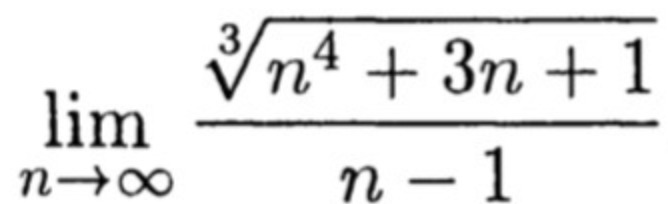
Здравствуйте! Пожалуйста, помогите пошагово решить предел, если не затруднит, подробно всё обьяснить.
Приложения:
Ответы
Автор ответа:
0
Решение в прикрепленном файле.
Приложения:
Гуманитарий69:
Спасибо огромное!
Похожие вопросы
Предмет: Русский язык,
автор: bikiteevaelvira
Предмет: Қазақ тiлi,
автор: maanyberikhan
Предмет: Химия,
автор: okc0677
Предмет: Математика,
автор: Masha122000
Предмет: Математика,
автор: VikaPronina201