Предмет: Алгебра,
автор: Аноним
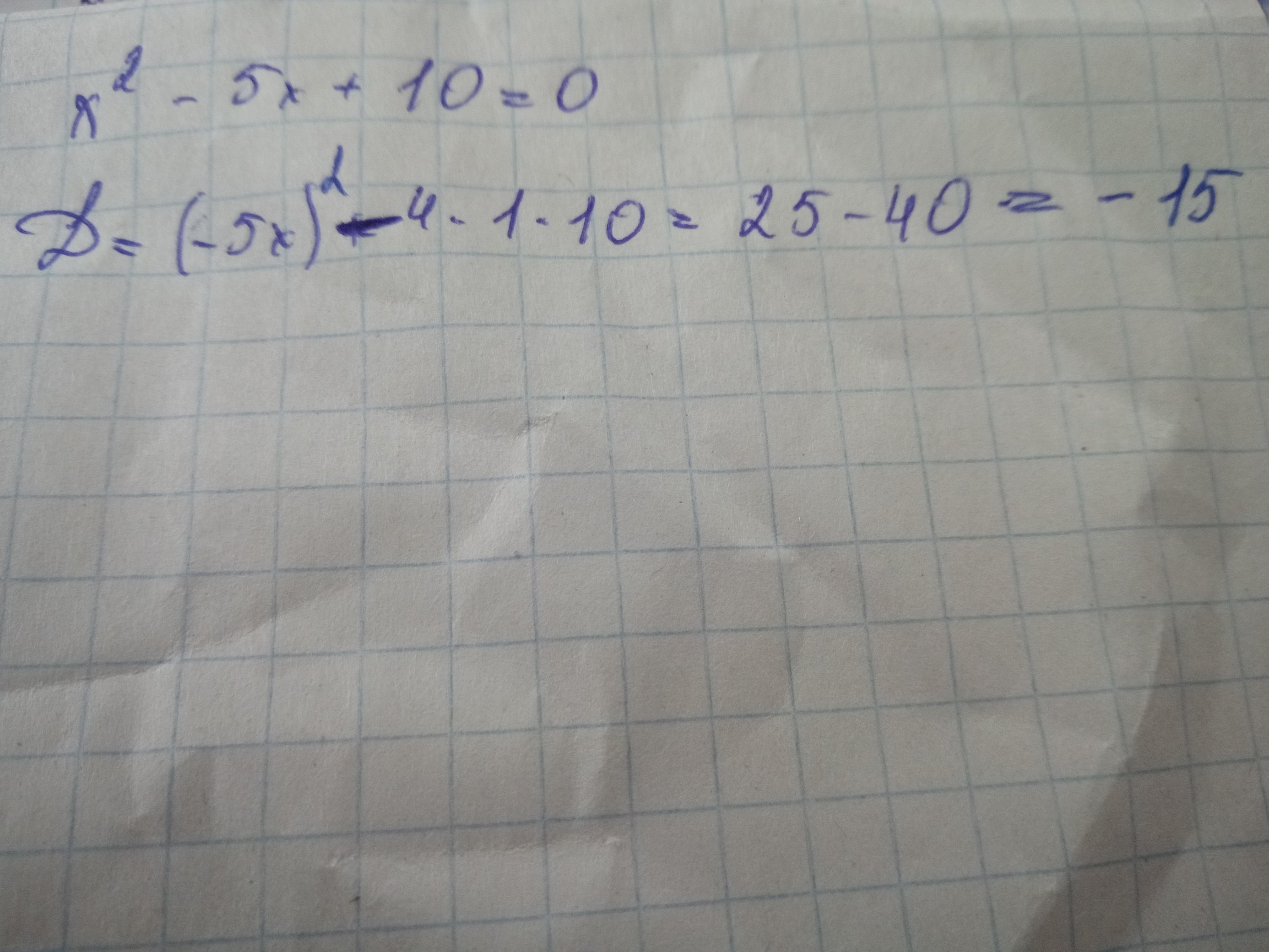
Докажите, что уравнение
x^2-5x+10=0 не имеет корней
Ответы
Автор ответа:
1
это дискременант и получается что
Приложения:
Похожие вопросы
Предмет: Математика,
автор: Аноним
Предмет: Биология,
автор: polinabajmuhametova4
Предмет: Физкультура и спорт,
автор: meserak153sofia
Предмет: Информатика,
автор: чертёночек8
Предмет: История,
автор: гел2