Предмет: Математика,
автор: Гуманитарий69
Здравствуйте! Пожалуйста, помогите пошагово решить предел, если не затруднит, подробно всё обьяснить.
Приложения:
Ответы
Автор ответа:
1
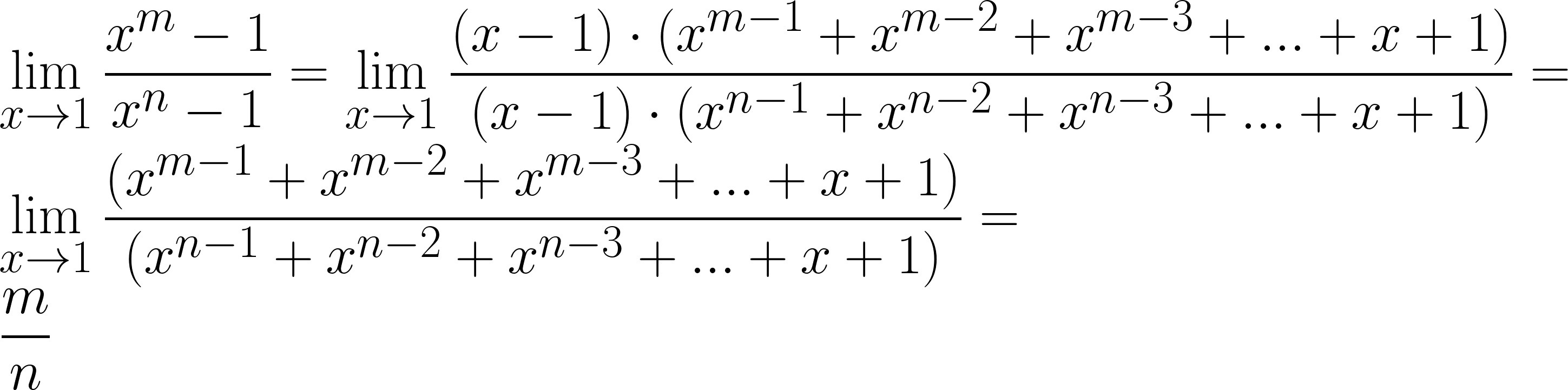
и числитель и знаменатель всегда можно разложить на многочлен вида
(x-1)*(x^(m-1)+x^(m-2)+x^(m-3)+...+x+1)(числитель)
(x-1)*(x^(n-1)+x^(n-2)+x^(n-3)+...+x+1)(знаменатель)

(x-1)*(x^(m-1)+x^(m-2)+x^(m-3)+...+x+1)(числитель)
(x-1)*(x^(n-1)+x^(n-2)+x^(n-3)+...+x+1)(знаменатель)
Приложения:
Гуманитарий69:
Спасибо огромное! Очень помогли
Похожие вопросы
Предмет: Французский язык,
автор: tsiklonplay
Предмет: Геометрия,
автор: kniganata6
Предмет: Физика,
автор: Maunfoz
Предмет: Математика,
автор: zaminibadov11
Предмет: Математика,
автор: Аноним