Предмет: Алгебра,
автор: sevakantonyan13
Виполните умножения
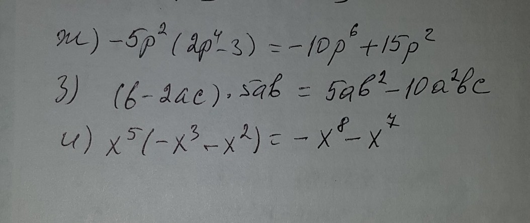
ж) -5p^2 (2p^4-3)
з) (b-2ac)×5ab
и) x^5 (-x^3-x^2)
Ответы
Автор ответа:
1
решение задания смотри на фотографии
Приложения:
Автор ответа:
0
1)-10p^6+15p²
2)5ab²-10a²bc
3)-x^8-x^7
2)5ab²-10a²bc
3)-x^8-x^7
Похожие вопросы
Предмет: Английский язык,
автор: Аноним
Предмет: Английский язык,
автор: KakDela10
Предмет: Английский язык,
автор: mustafaevalady8
Предмет: Геометрия,
автор: кек248
Предмет: Литература,
автор: кирилл637