Предмет: Алгебра,
автор: ZigZagRUS
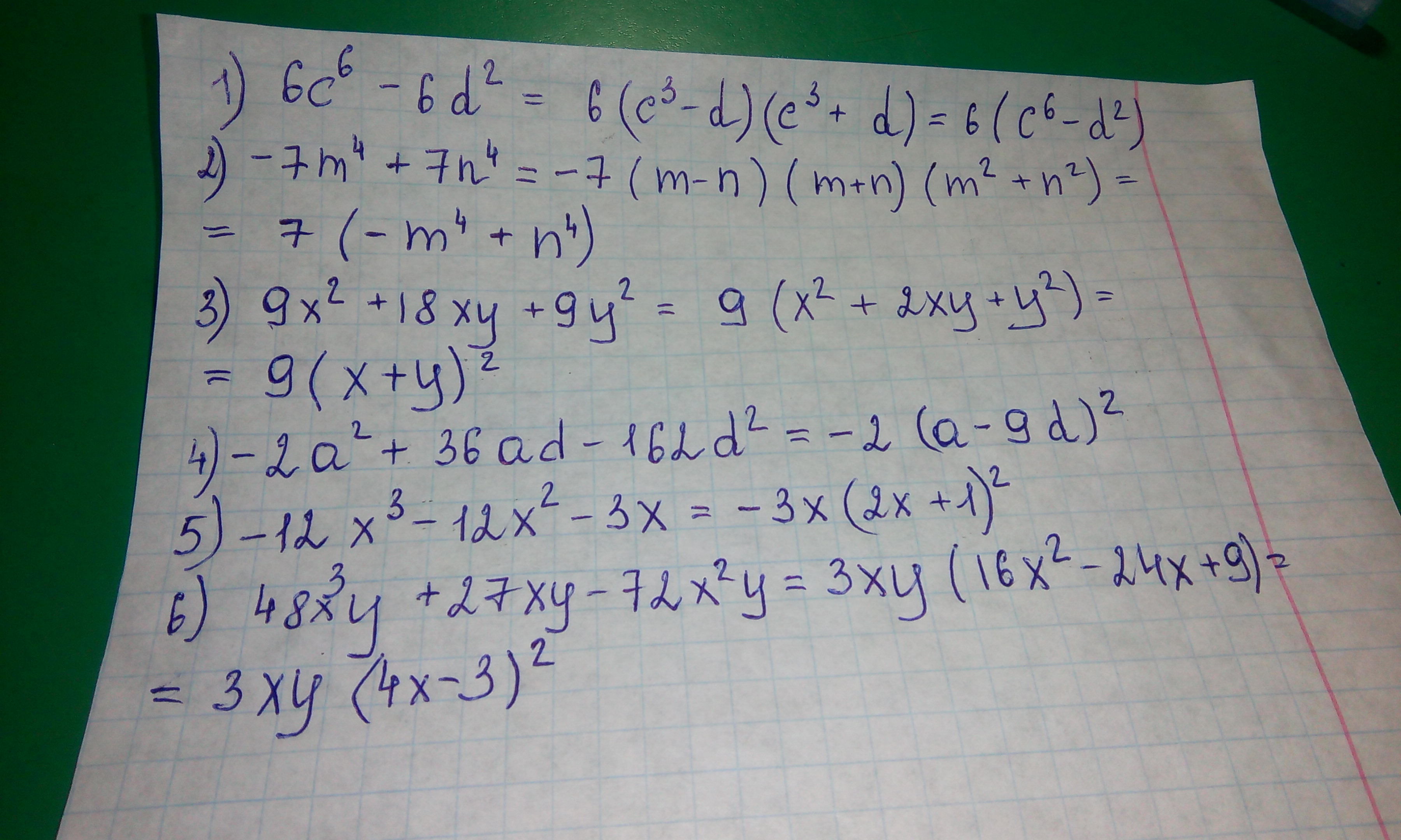
Решите пример ПОЖАЛУЙСТА (За это 34 баллов): 1) 6c⁶ - 6d²; 2) - 7m⁴ + 7n⁴; 3) 9x² + 18xy + 9y²; 5) - 2a² + 36ab - 162b²; - 12x³ - 12x² - 3x; 6) 48x³y + 27xy - 72x²y
Ответы
Автор ответа:
1
1)6c^6-6d^2=6 (c^6-d^2)=6 (c^3-d)(c^3+d)
2)-7m^4+7n^4= -7 (m^4-n^4)= -7 (m^2-n^2)(m^2+n^2)= -7 (m-n)(m+n)(m^2+n^2)
3)9x^2+18xy+9y^2=(3x)^2+2×3x×3y+(3y)^2=(3x+3y)^2
5)-2a^2+36ab-162b^2= -2×(a^2-18ab+81b^2)= -2×(a^2-2×a×9b+(9b)^2 = -2×(a-9)^2
6)48x^3y+27xy-72x^2y=3xy×(16x^2+9-24x)=3xy×((4x)^2-2×4x3+3^2)=3xy (4x-3)^2
2)-7m^4+7n^4= -7 (m^4-n^4)= -7 (m^2-n^2)(m^2+n^2)= -7 (m-n)(m+n)(m^2+n^2)
3)9x^2+18xy+9y^2=(3x)^2+2×3x×3y+(3y)^2=(3x+3y)^2
5)-2a^2+36ab-162b^2= -2×(a^2-18ab+81b^2)= -2×(a^2-2×a×9b+(9b)^2 = -2×(a-9)^2
6)48x^3y+27xy-72x^2y=3xy×(16x^2+9-24x)=3xy×((4x)^2-2×4x3+3^2)=3xy (4x-3)^2
Автор ответа:
0
Решение на фотографии
Приложения:
Похожие вопросы
Предмет: История,
автор: pleskacmaa401
Предмет: Физика,
автор: kalzanovainkar
Предмет: Математика,
автор: Аноним
Предмет: Алгебра,
автор: makedari
Предмет: Математика,
автор: b302fd