Предмет: Математика,
автор: krutoyiluxa
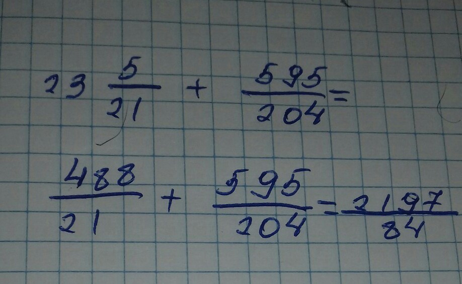
Решите дробь 23 целых 5/21 + 595/204
Ответы
Автор ответа:
1
23 5/21 + 595/204 = 488/21+595/204=33184/1428+4165/1428=37349/1428=26 221/1428
Автор ответа:
1
Окончательный ответ: 26 целых 13/84
Приложения:
Похожие вопросы
Предмет: Химия,
автор: Vana76898954t8
Предмет: Литература,
автор: ior90232
Предмет: Химия,
автор: Vana76898954t8
Предмет: Математика,
автор: рагузиналера
Предмет: География,
автор: кристиночка39