Предмет: Математика,
автор: georrra
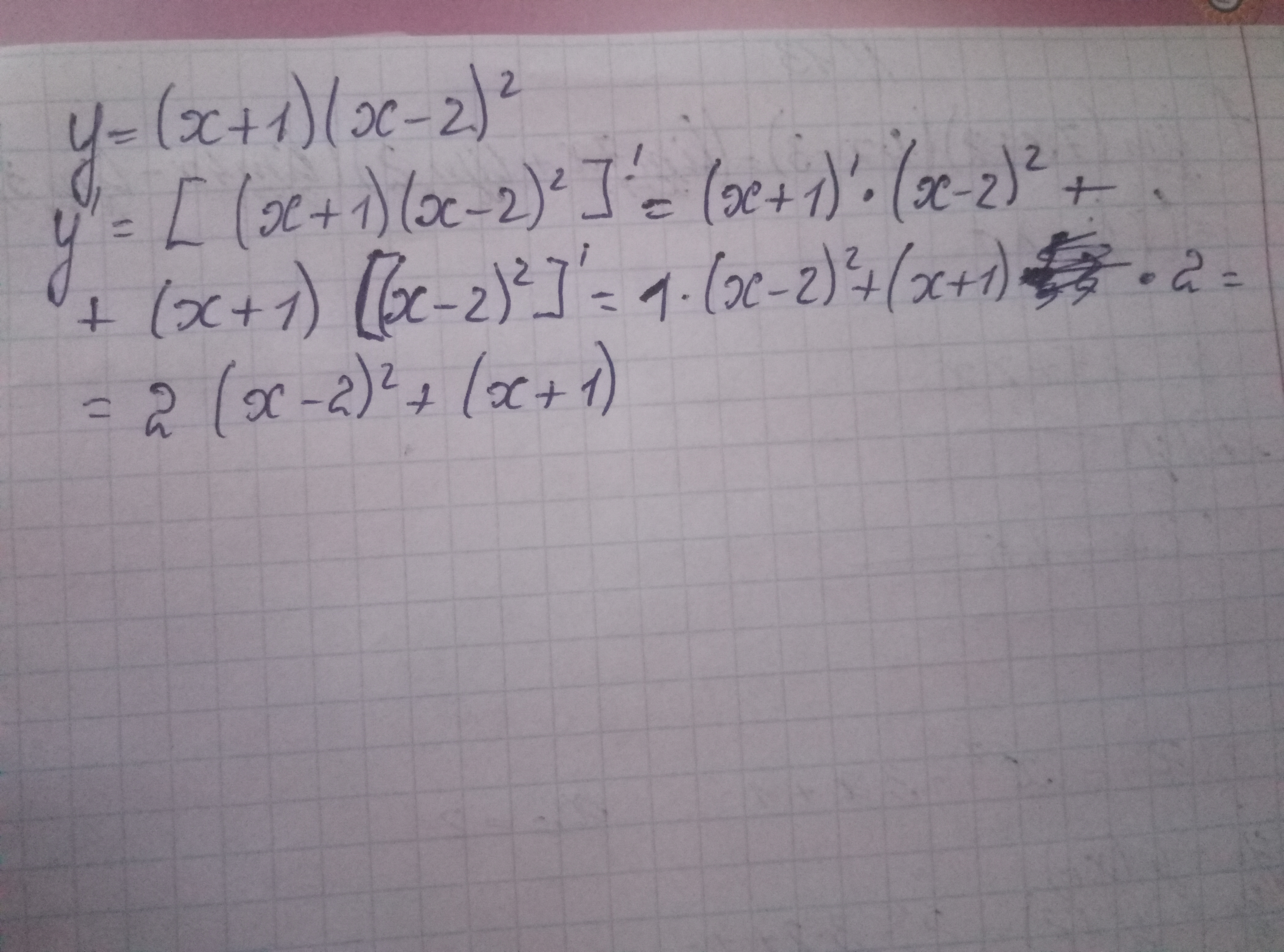
дифференциальное уравнение
y=(x+1)(x-2)^2
Ответы
Автор ответа:
0
Может правильно... Но я не уверена
Приложения:
Похожие вопросы
Предмет: География,
автор: k6142059
Предмет: География,
автор: Аноним
Предмет: Физика,
автор: yanash06
Предмет: Алгебра,
автор: aalina98
Предмет: Математика,
автор: GRIZZLI1