Предмет: Алгебра,
автор: annaastrebova84
Помогите пожалуйста
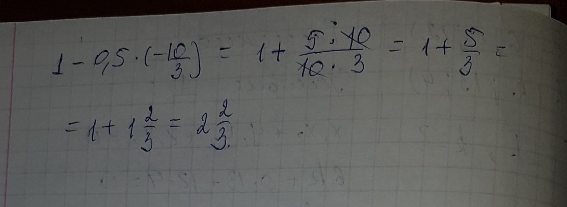
1 целая-0,5 *(-10/3)=
Ответы
Автор ответа:
1
решение задания смотри на фотографии
Приложения:
Автор ответа:
1
Написала карандашом, надеюсь видно .
Приложения:
Похожие вопросы
Предмет: Беларуская мова,
автор: lubasha0808
Предмет: Математика,
автор: proskurinakira40
Предмет: Английский язык,
автор: emmaagazhnova
Предмет: Математика,
автор: мисскети