Предмет: Математика,
автор: ksvyfksb
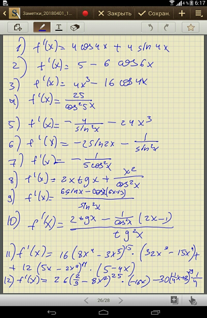
Вычислите производную.
Приложения:
Ответы
Автор ответа:
1
........................
Приложения:
Похожие вопросы
Предмет: Алгебра,
автор: nikakorzh1999
Предмет: Математика,
автор: Weronika509
Предмет: Биология,
автор: mclient79139110133
Предмет: Математика,
автор: hohouyit
Предмет: Математика,
автор: AnnaS111