Предмет: Алгебра,
автор: yaroslava45678
Решите пожалуйста уравнения ❤️ заранее огромное спасибо)))
Приложения:
Ответы
Автор ответа:
1
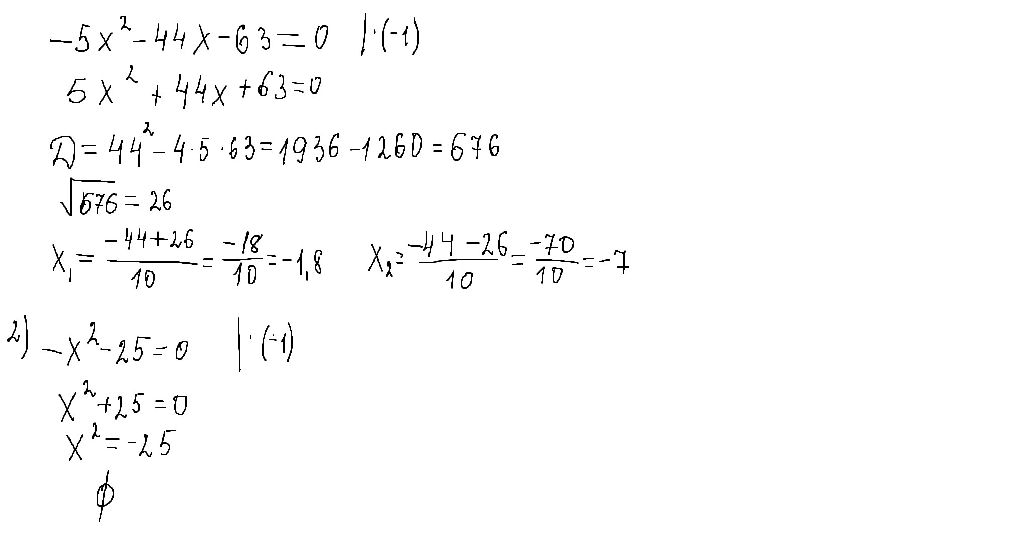
1) D=1936-1260=676
x1=(44+26)/-10=-7
x2=(44-26)/-10=-1,8
2)-x^2=25
-x=5
x=-5
Надеюсь, поймешь)
D-дискриминант, ^ - степень
x1=(44+26)/-10=-7
x2=(44-26)/-10=-1,8
2)-x^2=25
-x=5
x=-5
Надеюсь, поймешь)
D-дискриминант, ^ - степень
yaroslava45678:
Спасибо большое, выручила)
Автор ответа:
1
второе уравнение решений не имеет,потому что квадрат любого числа всегда положительное число.
Приложения:
Похожие вопросы
Предмет: Физика,
автор: kysik50
Предмет: Русский язык,
автор: mikrykovauljana21
Предмет: Английский язык,
автор: fir04ka2003
Предмет: Биология,
автор: lolo154
Предмет: Математика,
автор: Мери27