Предмет: Математика,
автор: cikin01
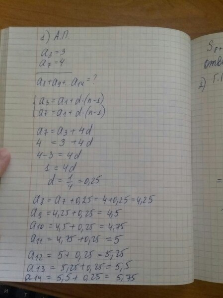
1)Про арифметическую прогрессию (аn) известно, что a3=3 a7=4. Найдите a8+a9+...+a14
2)в геометрической прогрессии (bn) найдите b5, если b3=8+2корня из 7, а b4=1+корень из 7
ДАЮ МНОГО БАЛЛОВ
Ответы
Автор ответа:
2
итак,.................................
Приложения:
Автор ответа:
1
добрый вечер! готов? поехали!
1) для начала вычислим значение d по известной тебе (надеюсь) формуле

вспомнил?

теперь с легкостью определим значение

теперь воспользуемся формулой для нахождения суммы первых нескольких членов арифметической прогрессии. только применив ее к нашему условию задачи: ряд у нас с 8 по 14 член; всего 7 членов.

2) вспоминаем для чего нужна следующая формула

вспомнили? тогда находим

теперь смело находим значение пятого члена геометрической прогрессии

желаю дальнейших успехов!
1) для начала вычислим значение d по известной тебе (надеюсь) формуле
вспомнил?
теперь с легкостью определим значение
теперь воспользуемся формулой для нахождения суммы первых нескольких членов арифметической прогрессии. только применив ее к нашему условию задачи: ряд у нас с 8 по 14 член; всего 7 членов.
2) вспоминаем для чего нужна следующая формула
вспомнили? тогда находим
теперь смело находим значение пятого члена геометрической прогрессии
желаю дальнейших успехов!
Похожие вопросы
Предмет: Физика,
автор: Аноним
Предмет: География,
автор: rrrr9090
Предмет: Геометрия,
автор: dasafedorova328
Предмет: Литература,
автор: Kerenaliev
Предмет: Математика,
автор: Азалияшка