Предмет: Математика,
автор: raiskadem
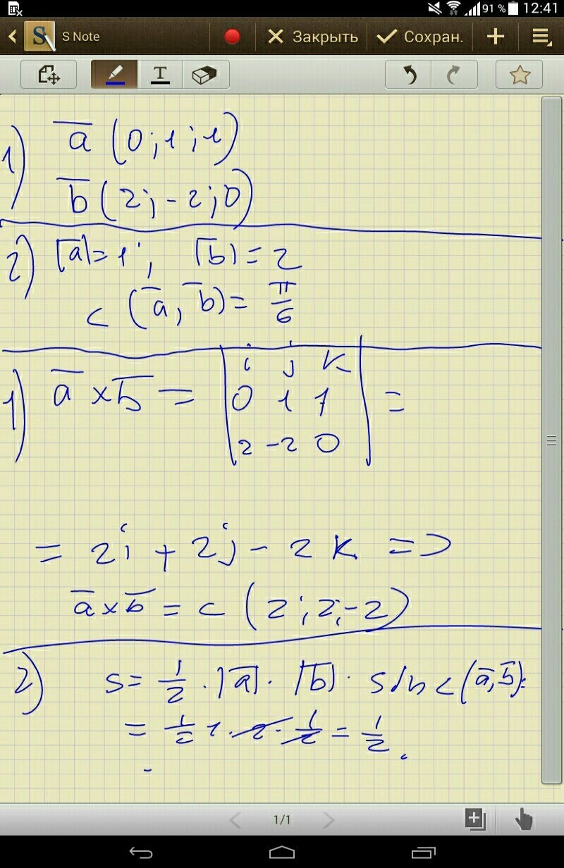
Помогите,пожалуйста, решить. Векторное произведение
Приложения:
Ответы
Автор ответа:
1
.............................
Приложения:
Похожие вопросы
Предмет: Математика,
автор: polinmorozova86
Предмет: Математика,
автор: ArtemkaYT98
Предмет: Геометрия,
автор: kykymber228
Предмет: Математика,
автор: ocsana125
Предмет: Математика,
автор: colesnicenco83