Предмет: Алгебра, автор: mаrgaritaznanija

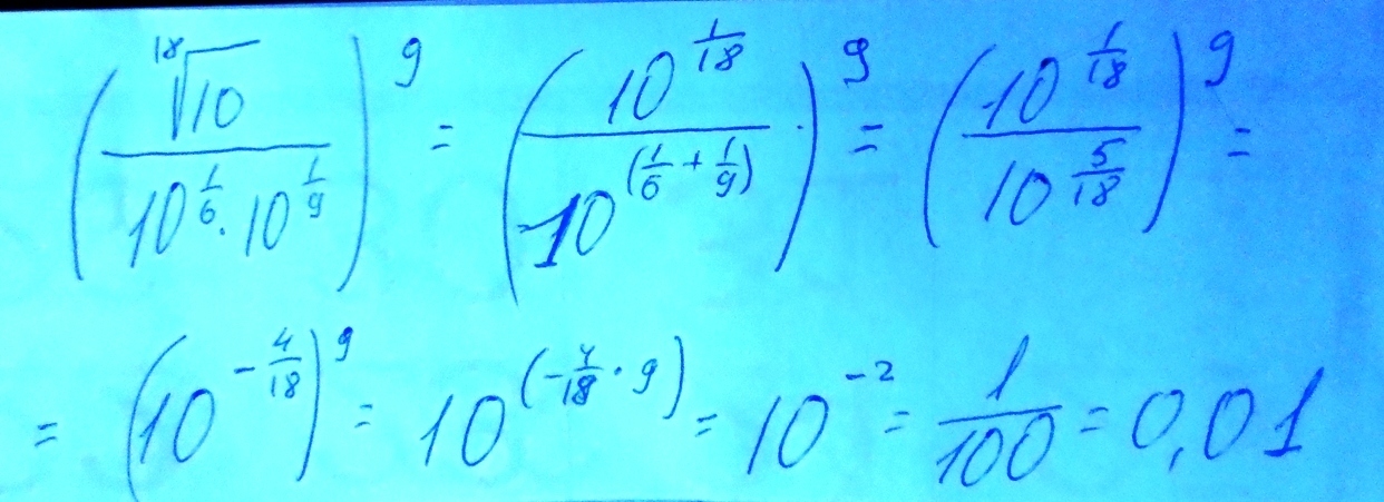
Вычислите всё что на картинке.

Приложения:

Сергей1111112357427: я в 3 классе
mаrgaritaznanija: Значит это задание не для вас.

Ответы

Автор ответа: miron2077
2
!!!!!!!!!!!!!!!!!!!!!!!!
Приложения:

mаrgaritaznanija: Спасибо
miron2077: пожалуйста!
mаrgaritaznanija: Какой вы класс?
miron2077: А что? 9
mаrgaritaznanija: Просто я ваш кумир уже многие годы
miron2077: Может, я ваш кумир, а не вы мой? С чего бы это?
mаrgaritaznanija: Ой, да извините
miron2077: Тогда я счастлив!
mаrgaritaznanija: )))))
miron2077: А зачем мне ВЫКАТЬ, я, наверно, не старше тебя!
Похожие вопросы
Предмет: Українська мова, автор: Аноним
Предмет: Математика, автор: Тарасова825
Предмет: Математика, автор: киса306