Предмет: Математика,
автор: jessicapark346
Пожалуйста помогите очень строчно надо!
Приложения:
Ответы
Автор ответа:
0
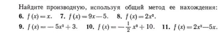
6) производная равна 1;
7) производная равна 9;
8) производная равна 4*х;
9) производная равна -10*х;
10) производная равна -х;
11) производная равна 4*х-5;
7) производная равна 9;
8) производная равна 4*х;
9) производная равна -10*х;
10) производная равна -х;
11) производная равна 4*х-5;
Похожие вопросы
Предмет: Алгебра,
автор: elizavetazirkova804
Предмет: Математика,
автор: sultangildina
Предмет: Математика,
автор: 3krumarok
Предмет: Математика,
автор: тим184
Предмет: Математика,
автор: АминаМадина